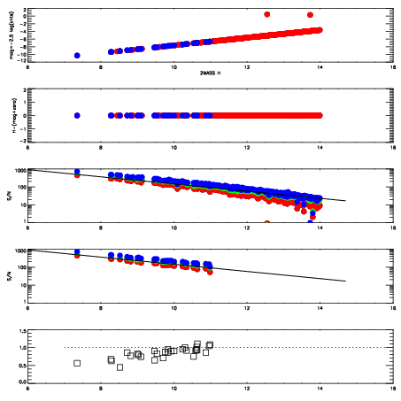
Left plots: red are targets, blue are telluric. Observed mags are calculated from median value of green chip. Zeropoint gives overall throughput: bigger number is more throughput.
First spatial plots: circles are objects, squares are tellurics, crosses are sky fibers. Colors give deviation of observed mag from expected 2MASS mag using the median zeropoint; red is brighter
Second spatial plots: circles are sky fibers. Colors give sky line brightness relative to plate median sky line brightness
FrameNreadsZeropointsMag plots Spatial mag deviation Spatial sky 16325A emission deviations (filled: sky, open: star) Spatial sky continuum emission Spatial sky telluric CO2 absorption deviations (filled: H < 10)
0 0
RedGreenBlue
z17.64
znorm Inf
sky -Inf -Inf -Inf
S/N 36.0 62.7 74.4
S/N(c) 0.0 0.0 0.0
SN(E/C) 0.87

IPAIRNAMESHIFTNEWSHIFTS/N NAMESHIFTNEWSHIFTS/N
0 19650024 0.489948 0.00000 19.0100 19650018 0.00000 0.489948 19.0953
1 19650027 0.488988 0.000959992 19.1965 19650026 0.000269353 0.489679 19.2158
2 19650028 0.489419 0.000528991 19.1684 19650029 0.00220235 0.487746 19.1749
3 19650023 0.489739 0.000209004 19.1619 19650022 -5.95091e-05 0.490008 19.1370
4 19650020 0.489558 0.000389993 19.1485 19650021 -0.000235768 0.490184 19.1349
5 19650019 0.488764 0.00118402 19.1411 19650025 2.50523e-05 0.489923 19.1160