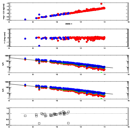
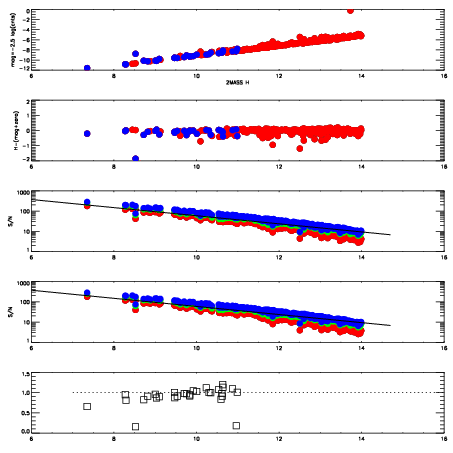
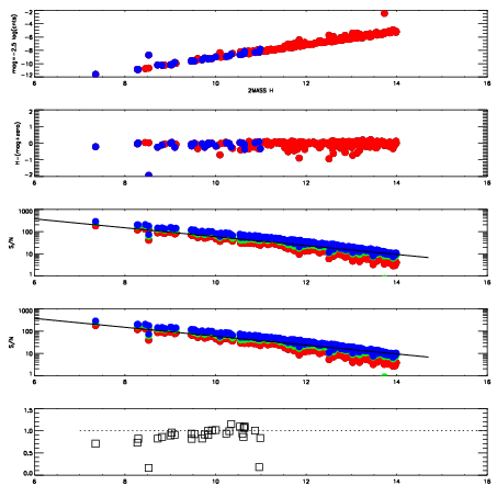
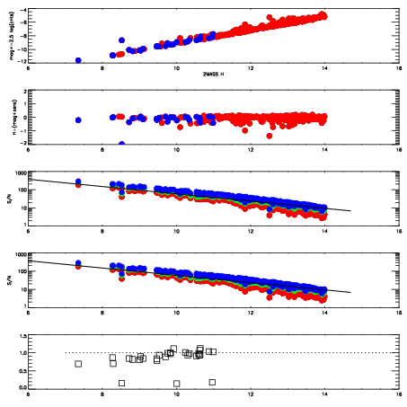
Left plots: red are targets, blue are telluric. Observed mags are calculated from median value of green chip. Zeropoint gives overall throughput: bigger number is more throughput.
First spatial plots: circles are objects, squares are tellurics, crosses are sky fibers. Colors give deviation of observed mag from expected 2MASS mag using the median zeropoint; red is brighter
Second spatial plots: circles are sky fibers. Colors give sky line brightness relative to plate median sky line brightness
FrameNreadsZeropointsMag plots Spatial mag deviation Spatial sky 16325A emission deviations (filled: sky, open: star) Spatial sky continuum emission Spatial sky telluric CO2 absorption deviations (filled: H < 10)
19920042 47
RedGreenBlue
z19.10
znorm14.92
sky 14.6 14.5 14.7
S/N 16.2 26.4 32.6
S/N(c) 9.7 20.4 26.3
SN(E/C) 0.94
19920043 47
RedGreenBlue
z19.16
znorm14.98
sky 14.8 14.8 14.9
S/N 16.9 27.1 33.3
S/N(c) 10.1 20.9 26.9
SN(E/C) 0.92
19920044 47
RedGreenBlue
z19.14
znorm14.96
sky 14.7 14.8 14.9
S/N 16.5 27.1 33.3
S/N(c) 10.0 20.8 26.4
SN(E/C) 0.95
19920045 47
RedGreenBlue
z19.16
znorm14.98
sky 14.7 14.7 15.1
S/N 16.7 27.6 33.4
S/N(c) 10.1 21.3 26.9
SN(E/C) 0.93