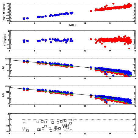
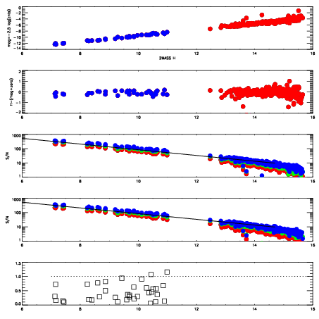
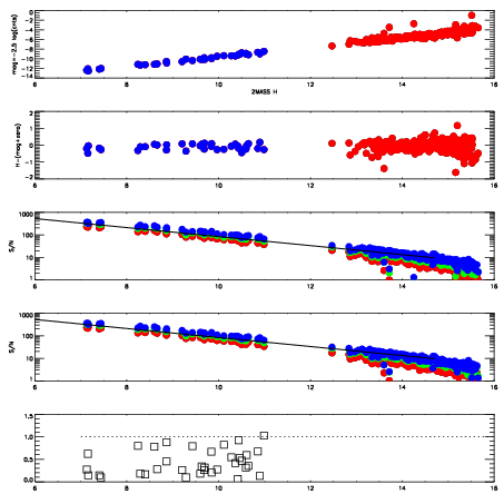
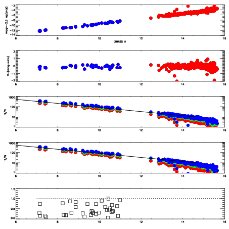
Left plots: red are targets, blue are telluric. Observed mags are calculated from median value of green chip. Zeropoint gives overall throughput: bigger number is more throughput.
First spatial plots: circles are objects, squares are tellurics, crosses are sky fibers. Colors give deviation of observed mag from expected 2MASS mag using the median zeropoint; red is brighter
Second spatial plots: circles are sky fibers. Colors give sky line brightness relative to plate median sky line brightness
FrameNreadsZeropointsMag plots Spatial mag deviation Spatial sky 16325A emission deviations (filled: sky, open: star) Spatial sky continuum emission Spatial sky telluric CO2 absorption deviations (filled: H < 10)
18850050 94
RedGreenBlue
z19.71
znorm14.77
sky 14.9 14.6 14.8
S/N 24.9 36.4 43.1
S/N(c) 43.6 49.3 12.7
SN(E/C) 0.34
18850051 94
RedGreenBlue
z19.60
znorm14.67
sky 15.1 14.7 14.9
S/N 23.4 34.4 40.6
S/N(c) 41.0 46.5 12.0
SN(E/C) 0.37
18850052 94
RedGreenBlue
z19.54
znorm14.61
sky 15.2 14.8 14.8
S/N 22.3 32.9 38.8
S/N(c) 38.3 44.8 11.3
SN(E/C) 0.38
18850053 94
RedGreenBlue
z19.65
znorm14.72
sky 15.1 14.9 14.8
S/N 22.9 33.9 39.9
S/N(c) 38.1 45.6 11.3
SN(E/C) 0.35