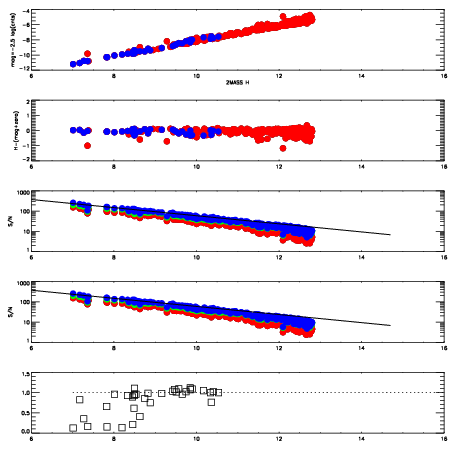
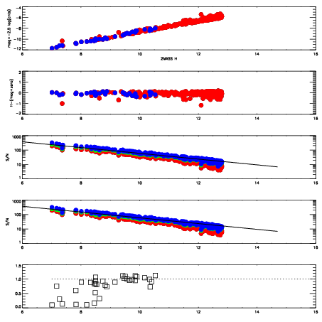
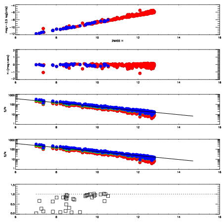
Left plots: red are targets, blue are telluric. Observed mags are calculated from median value of green chip. Zeropoint gives overall throughput: bigger number is more throughput.
First spatial plots: circles are objects, squares are tellurics, crosses are sky fibers. Colors give deviation of observed mag from expected 2MASS mag using the median zeropoint; red is brighter
Second spatial plots: circles are sky fibers. Colors give sky line brightness relative to plate median sky line brightness
FrameNreadsZeropointsMag plots Spatial mag deviation Spatial sky 16325A emission deviations (filled: sky, open: star) Spatial sky continuum emission Spatial sky telluric CO2 absorption deviations (filled: H < 10)
19760039 47
RedGreenBlue
z18.96
znorm14.78
sky 14.4 14.4 14.5
S/N 14.7 24.4 26.2
S/N(c) 23.9 15.6 16.2
SN(E/C) 0.86
19760040 47
RedGreenBlue
z18.69
znorm14.51
sky 14.4 14.5 14.7
S/N 12.7 21.4 22.7
S/N(c) 20.0 13.3 13.9
SN(E/C) 0.89
19760041 47
RedGreenBlue
z18.78
znorm14.60
sky 14.7 14.6 14.7
S/N 13.1 22.4 23.8
S/N(c) 21.1 13.9 14.5
SN(E/C) 0.83
19760042 47
RedGreenBlue
z18.18
znorm14.00
sky 14.5 14.5 14.6
S/N 8.4 15.7 16.7
S/N(c) 14.8 10.2 10.8
SN(E/C) 0.96