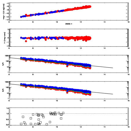
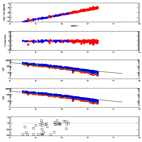
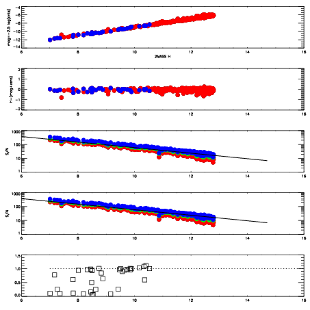
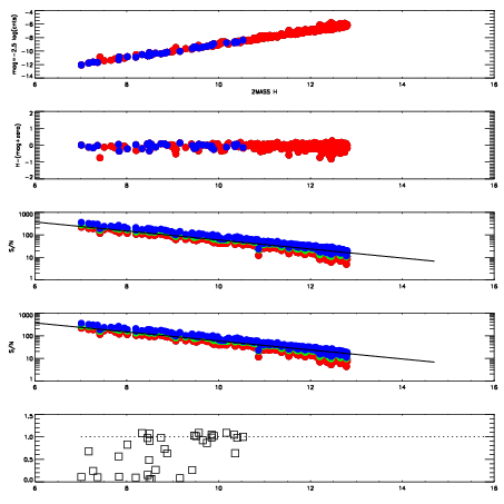
Left plots: red are targets, blue are telluric. Observed mags are calculated from median value of green chip. Zeropoint gives overall throughput: bigger number is more throughput.
First spatial plots: circles are objects, squares are tellurics, crosses are sky fibers. Colors give deviation of observed mag from expected 2MASS mag using the median zeropoint; red is brighter
Second spatial plots: circles are sky fibers. Colors give sky line brightness relative to plate median sky line brightness
FrameNreadsZeropointsMag plots Spatial mag deviation Spatial sky 16325A emission deviations (filled: sky, open: star) Spatial sky continuum emission Spatial sky telluric CO2 absorption deviations (filled: H < 10)
19210072 47
RedGreenBlue
z19.05
znorm14.87
sky 14.6 14.6 14.4
S/N 16.5 25.7 29.1
S/N(c) 5.5 12.1 35.2
SN(E/C) 0.83
19210073 47
RedGreenBlue
z19.02
znorm14.84
sky 14.5 14.6 14.4
S/N 15.7 25.0 27.8
S/N(c) 5.2 11.6 33.0
SN(E/C) 0.89
19210074 47
RedGreenBlue
z19.07
znorm14.89
sky 14.1 14.2 14.2
S/N 16.0 25.3 27.9
S/N(c) 5.2 11.8 34.2
SN(E/C) 0.84
19210075 47
RedGreenBlue
z18.96
znorm14.78
sky 12.0 12.0 11.7
S/N 11.4 17.1 19.1
S/N(c) 4.4 10.0 28.3
SN(E/C) 0.82