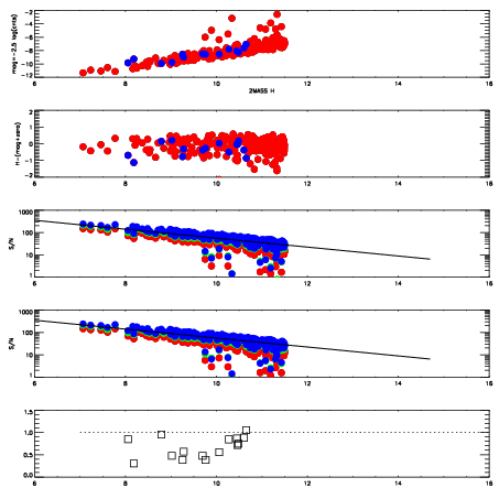
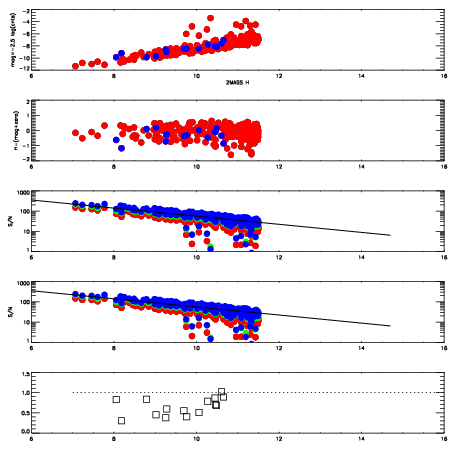
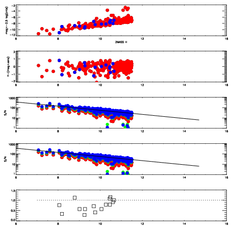
Left plots: red are targets, blue are telluric. Observed mags are calculated from median value of green chip. Zeropoint gives overall throughput: bigger number is more throughput.
First spatial plots: circles are objects, squares are tellurics, crosses are sky fibers. Colors give deviation of observed mag from expected 2MASS mag using the median zeropoint; red is brighter
Second spatial plots: circles are sky fibers. Colors give sky line brightness relative to plate median sky line brightness
FrameNreadsZeropointsMag plots Spatial mag deviation Spatial sky 16325A emission deviations (filled: sky, open: star) Spatial sky continuum emission Spatial sky telluric CO2 absorption deviations (filled: H < 10)
17170029 42
RedGreenBlue
z18.41
znorm14.35
sky 14.3 14.3 14.4
S/N 11.6 19.0 22.3
S/N(c) 14.7 19.4 17.2
SN(E/C) 0.65
17170030 42
RedGreenBlue
z18.43
znorm14.37
sky 14.6 14.4 14.6
S/N 11.4 18.9 21.9
S/N(c) 14.6 18.9 16.9
SN(E/C) 0.67
17170031 42
RedGreenBlue
z18.26
znorm14.20
sky 14.8 14.6 14.5
S/N 10.6 17.7 20.4
S/N(c) 14.9 19.1 16.7
SN(E/C) 0.76
17170032 42
RedGreenBlue
z18.31
znorm14.25
sky 14.7 14.6 14.7
S/N 11.1 18.3 21.2
S/N(c) 14.9 19.1 17.3
SN(E/C) 0.73
17170033 42
RedGreenBlue
z18.57
znorm14.52
sky 14.7 14.5 14.6
S/N 11.6 19.1 22.0
S/N(c) 17.6 22.5 19.9
SN(E/C) 0.72
17170034 42
RedGreenBlue
z18.54
znorm14.48
sky 14.6 14.5 14.7
S/N 11.1 18.6 21.6
S/N(c) 17.4 22.2 19.6
SN(E/C) 0.68