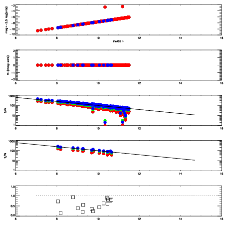
Left plots: red are targets, blue are telluric. Observed mags are calculated from median value of green chip. Zeropoint gives overall throughput: bigger number is more throughput.
First spatial plots: circles are objects, squares are tellurics, crosses are sky fibers. Colors give deviation of observed mag from expected 2MASS mag using the median zeropoint; red is brighter
Second spatial plots: circles are sky fibers. Colors give sky line brightness relative to plate median sky line brightness
FrameNreadsZeropointsMag plots Spatial mag deviation Spatial sky 16325A emission deviations (filled: sky, open: star) Spatial sky continuum emission Spatial sky telluric CO2 absorption deviations (filled: H < 10)
0 0
RedGreenBlue
z17.64
znorm Inf
sky -Inf -Inf -NaN
S/N 17.8 30.9 35.6
S/N(c) 0.0 0.0 0.0
SN(E/C) 0.61

IPAIRNAMESHIFTNEWSHIFTS/N NAMESHIFTNEWSHIFTS/N
0 17170031 0.479734 0.00000 18.1950 17170032 -0.00299166 0.482726 18.2511
1 17170034 0.473246 0.00648800 18.4472 17170033 -0.00353224 0.483266 18.4961
2 17170030 0.478802 0.000932008 18.3641 17170029 0.00000 0.479734 18.3561