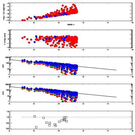
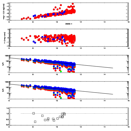
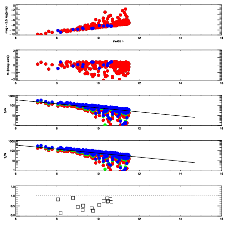
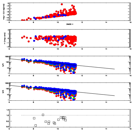
Frame | Nreads | Zeropoints | Mag plots
| Spatial mag deviation
| Spatial sky 16325A emission deviations (filled: sky, open: star)
| Spatial sky continuum emission
| Spatial sky telluric CO2 absorption deviations (filled: H < 10)
|
17190028
| 42
| | Red | Green | Blue
| z | | 18.48
| znorm | | 14.42
| sky | 14.4 | 14.2 | 14.3
| S/N | 11.8 | 19.3 | 22.6
| S/N(c) | 15.1 | 19.7 | 17.6
| SN(E/C) | 0.69
|
|
|
|
|
|
|
17190029
| 42
| | Red | Green | Blue
| z | | 18.47
| znorm | | 14.41
| sky | 14.4 | 14.4 | 14.4
| S/N | 11.4 | 19.0 | 22.3
| S/N(c) | 14.9 | 19.4 | 17.8
| SN(E/C) | 0.66
|
|
|
|
|
|
|
17190030
| 42
| | Red | Green | Blue
| z | | 18.33
| znorm | | 14.27
| sky | 14.6 | 14.6 | 14.6
| S/N | 11.2 | 18.4 | 21.4
| S/N(c) | 15.3 | 19.4 | 17.3
| SN(E/C) | 0.73
|
|
|
|
|
|
|
17190031
| 42
| | Red | Green | Blue
| z | | 18.32
| znorm | | 14.27
| sky | 14.8 | 14.7 | 14.7
| S/N | 10.8 | 18.5 | 21.4
| S/N(c) | 15.0 | 19.2 | 17.2
| SN(E/C) | 0.74
|
|
|
|
|
|
|
17190032
| 42
| | Red | Green | Blue
| z | | 18.60
| znorm | | 14.54
| sky | 14.7 | 14.6 | 14.7
| S/N | 11.7 | 19.1 | 22.4
| S/N(c) | 17.9 | 23.3 | 20.3
| SN(E/C) | 0.71
|
|
|
|
|
|
|
17190033
| 42
| | Red | Green | Blue
| z | | 18.52
| znorm | | 14.46
| sky | 14.7 | 14.7 | 14.7
| S/N | 10.6 | 18.7 | 21.0
| S/N(c) | 17.5 | 22.2 | 19.6
| SN(E/C) | 0.70
|
|
|
|
|
|
|
17190034
| 42
| | Red | Green | Blue
| z | | 18.65
| znorm | | 14.59
| sky | 14.6 | 14.7 | 14.7
| S/N | 12.7 | 20.6 | 24.4
| S/N(c) | 18.1 | 22.5 | 20.7
| SN(E/C) | 0.63
|
|
|
|
|
|
|
17190035
| 42
| | Red | Green | Blue
| z | | 18.69
| znorm | | 14.63
| sky | 14.5 | 14.7 | 14.7
| S/N | 13.2 | 21.1 | 25.4
| S/N(c) | 18.4 | 22.8 | 21.2
| SN(E/C) | 0.69
|
|
|
|
|
|
|
17190036
| 42
| | Red | Green | Blue
| z | | 18.37
| znorm | | 14.31
| sky | 14.5 | 14.7 | 15.0
| S/N | 11.2 | 19.3 | 21.8
| S/N(c) | 15.1 | 19.1 | 17.2
| SN(E/C) | 0.75
|
|
|
|
|
|
|
17190037
| 42
| | Red | Green | Blue
| z | | 15.83
| znorm | | 11.77
| sky | 14.8 | 15.0 | 15.2
| S/N | 1.2 | 3.7 | 3.4
| S/N(c) | 2.1 | 4.2 | 3.1
| SN(E/C) | 0.96
|
|
|
|
|
|
|