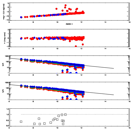
Frame | Nreads | Zeropoints | Mag plots
| Spatial mag deviation
| Spatial sky 16325A emission deviations (filled: sky, open: star)
| Spatial sky continuum emission
| Spatial sky telluric CO2 absorption deviations (filled: H < 10)
|
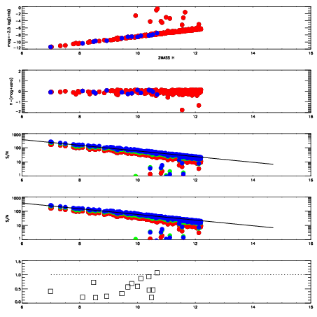
18150011
| 47
| | Red | Green | Blue
| z | | 17.98
| znorm | | 13.80
| sky | 14.1 | 14.1 | 14.0
| S/N | 7.4 | 14.3 | 15.0
| S/N(c) | 8.0 | 12.7 | 6.6
| SN(E/C) | 0.59
|
|
|
|
|
|
|
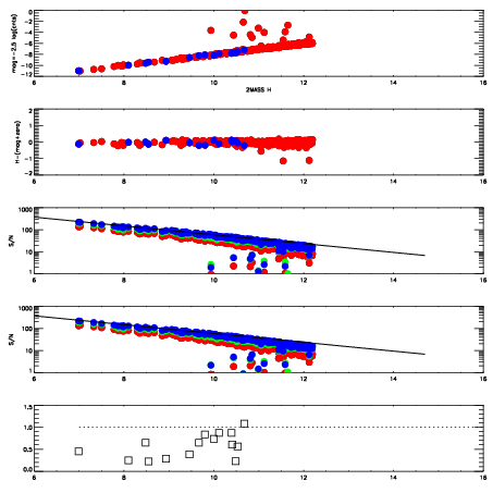
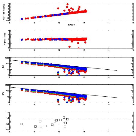
18150012
| 47
| | Red | Green | Blue
| z | | 18.00
| znorm | | 13.82
| sky | 14.5 | 14.4 | 14.1
| S/N | 7.7 | 14.5 | 15.3
| S/N(c) | 7.9 | 12.6 | 6.7
| SN(E/C) | 0.59
|
|
|
|
|
|
|
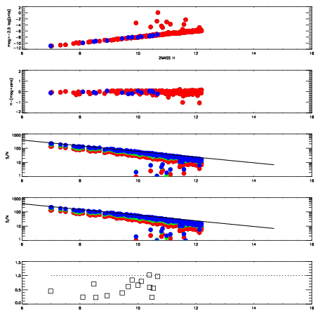
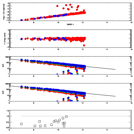
18150013
| 47
| | Red | Green | Blue
| z | | 17.75
| znorm | | 13.57
| sky | 14.9 | 14.5 | 14.1
| S/N | 6.2 | 12.1 | 12.8
| S/N(c) | 6.6 | 10.9 | 5.7
| SN(E/C) | 0.66
|
|
|
|
|
|
|
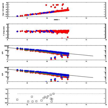
18150014
| 47
| | Red | Green | Blue
| z | | 18.09
| znorm | | 13.91
| sky | 14.5 | 14.6 | 14.1
| S/N | 8.0 | 15.3 | 16.3
| S/N(c) | 8.3 | 13.2 | 7.0
| SN(E/C) | 0.61
|
|
|
|
|
|
|
18150015
| 47
| | Red | Green | Blue
| z | | 18.51
| znorm | | 14.33
| sky | 14.6 | 14.3 | 14.1
| S/N | 11.2 | 19.4 | 21.5
| S/N(c) | 11.0 | 16.7 | 8.8
| SN(E/C) | 0.46
|
|
|
|
|
|
|
18150016
| 47
| | Red | Green | Blue
| z | | 18.64
| znorm | | 14.46
| sky | 14.4 | 14.2 | 14.0
| S/N | 12.2 | 20.7 | 22.3
| S/N(c) | 11.8 | 18.0 | 9.4
| SN(E/C) | 0.47
|
|
|
|
|
|
|
18150017
| 47
| | Red | Green | Blue
| z | | 18.45
| znorm | | 14.27
| sky | 14.6 | 14.4 | 14.0
| S/N | 10.5 | 18.5 | 20.1
| S/N(c) | 10.5 | 16.2 | 8.7
| SN(E/C) | 0.47
|
|
|
|
|
|
|
18150018
| 47
| | Red | Green | Blue
| z | | 18.69
| znorm | | 14.51
| sky | 14.6 | 14.5 | 14.1
| S/N | 12.7 | 21.7 | 23.4
| S/N(c) | 12.3 | 18.7 | 9.9
| SN(E/C) | 0.42
|
|
|
|
|
|
|