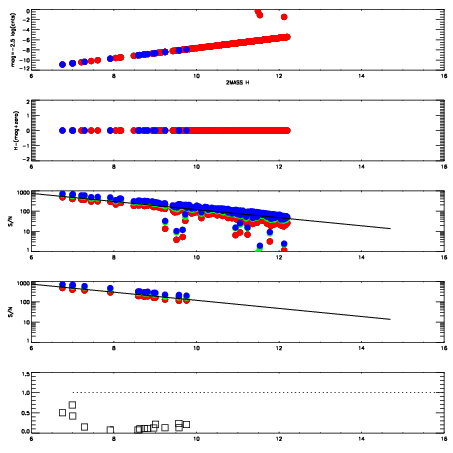
Left plots: red are targets, blue are telluric. Observed mags are calculated from median value of green chip. Zeropoint gives overall throughput: bigger number is more throughput.
First spatial plots: circles are objects, squares are tellurics, crosses are sky fibers. Colors give deviation of observed mag from expected 2MASS mag using the median zeropoint; red is brighter
Second spatial plots: circles are sky fibers. Colors give sky line brightness relative to plate median sky line brightness
FrameNreadsZeropointsMag plots Spatial mag deviation Spatial sky 16325A emission deviations (filled: sky, open: star) Spatial sky continuum emission Spatial sky telluric CO2 absorption deviations (filled: H < 10)
0 0
RedGreenBlue
z17.64
znorm Inf
sky -NaN -NaN -NaN
S/N 26.2 44.6 53.4
S/N(c) 0.0 0.0 0.0
SN(E/C) 0.13

IPAIRNAMESHIFTNEWSHIFTS/N NAMESHIFTNEWSHIFTS/N
0 17870043 0.515759 0.00000 18.9839 17870044 0.00287079 0.512888 18.9873
1 17870038 0.513681 0.00207800 19.0332 17870041 0.00222122 0.513538 19.0235
2 17870039 0.514144 0.00161499 19.0252 17870040 0.00173700 0.514022 19.0166
3 17870042 0.514794 0.000964999 19.0172 17870037 0.00000 0.515759 19.0021