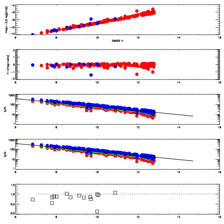
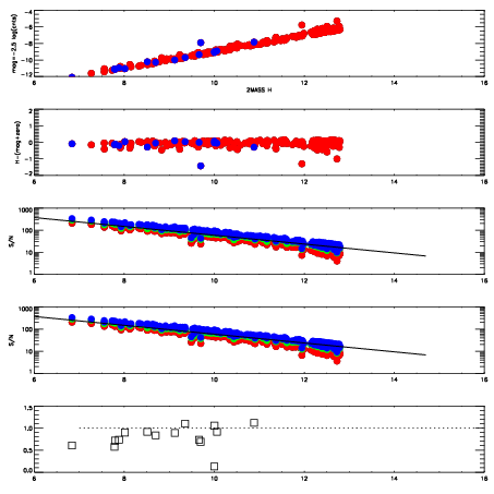
Left plots: red are targets, blue are telluric. Observed mags are calculated from median value of green chip. Zeropoint gives overall throughput: bigger number is more throughput.
First spatial plots: circles are objects, squares are tellurics, crosses are sky fibers. Colors give deviation of observed mag from expected 2MASS mag using the median zeropoint; red is brighter
Second spatial plots: circles are sky fibers. Colors give sky line brightness relative to plate median sky line brightness
FrameNreadsZeropointsMag plots Spatial mag deviation Spatial sky 16325A emission deviations (filled: sky, open: star) Spatial sky continuum emission Spatial sky telluric CO2 absorption deviations (filled: H < 10)
20040010 47
RedGreenBlue
z18.92
znorm14.74
sky 14.6 14.5 14.5
S/N 15.1 24.0 28.1
S/N(c) 5.4 34.0 45.6
SN(E/C) 0.86
20040011 47
RedGreenBlue
z19.02
znorm14.84
sky 14.6 14.7 14.8
S/N 15.9 25.5 29.4
S/N(c) 5.7 36.1 48.0
SN(E/C) 0.83