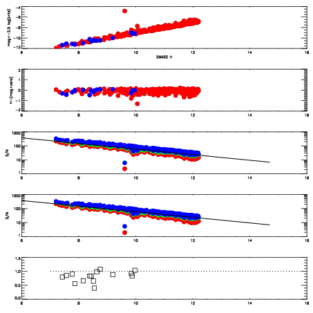
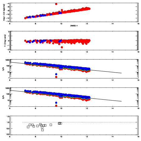
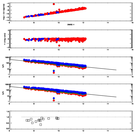
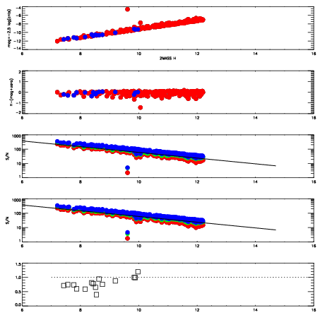
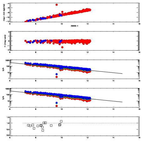
Frame | Nreads | Zeropoints | Mag plots
| Spatial mag deviation
| Spatial sky 16325A emission deviations (filled: sky, open: star)
| Spatial sky continuum emission
| Spatial sky telluric CO2 absorption deviations (filled: H < 10)
|
17350052
| 47
| | Red | Green | Blue
| z | | 19.08
| znorm | | 14.90
| sky | 14.4 | 14.3 | 14.4
| S/N | 16.0 | 24.5 | 29.4
| S/N(c) | 19.1 | 28.0 | 20.1
| SN(E/C) | 0.83
|
|
|
|
|
|
|
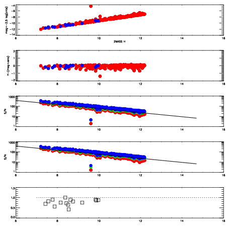
17350053
| 47
| | Red | Green | Blue
| z | | 19.15
| znorm | | 14.97
| sky | 14.3 | 14.3 | 14.7
| S/N | 16.1 | 25.0 | 30.0
| S/N(c) | 19.7 | 28.9 | 20.8
| SN(E/C) | 0.83
|
|
|
|
|
|
|
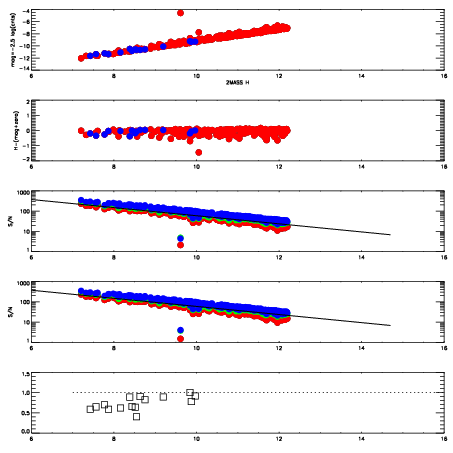
17350054
| 47
| | Red | Green | Blue
| z | | 19.24
| znorm | | 15.06
| sky | 14.5 | 14.4 | 14.4
| S/N | 17.2 | 26.8 | 31.6
| S/N(c) | 20.7 | 30.0 | 21.8
| SN(E/C) | 0.75
|
|
|
|
|
|
|
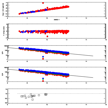
17350055
| 47
| | Red | Green | Blue
| z | | 19.27
| znorm | | 15.09
| sky | 14.5 | 14.4 | 14.6
| S/N | 17.4 | 27.9 | 31.8
| S/N(c) | 21.3 | 30.3 | 21.8
| SN(E/C) | 0.75
|
|
|
|
|
|
|
17350056
| 47
| | Red | Green | Blue
| z | | 19.26
| znorm | | 15.08
| sky | 14.3 | 14.3 | 14.6
| S/N | 17.3 | 27.6 | 31.7
| S/N(c) | 20.9 | 30.2 | 21.9
| SN(E/C) | 0.70
|
|
|
|
|
|
|
17350057
| 47
| | Red | Green | Blue
| z | | 19.27
| znorm | | 15.09
| sky | 14.5 | 14.4 | 14.6
| S/N | 17.4 | 28.1 | 31.9
| S/N(c) | 20.9 | 30.3 | 21.9
| SN(E/C) | 0.75
|
|
|
|
|
|
|
17350058
| 47
| | Red | Green | Blue
| z | | 19.24
| znorm | | 15.06
| sky | 14.3 | 14.3 | 14.6
| S/N | 17.1 | 27.7 | 31.1
| S/N(c) | 20.5 | 29.9 | 21.4
| SN(E/C) | 0.75
|
|
|
|
|
|
|
17350059
| 47
| | Red | Green | Blue
| z | | 19.23
| znorm | | 15.05
| sky | 14.3 | 14.5 | 14.6
| S/N | 16.9 | 27.4 | 31.2
| S/N(c) | 20.4 | 29.8 | 21.5
| SN(E/C) | 0.81
|
|
|
|
|
|
|