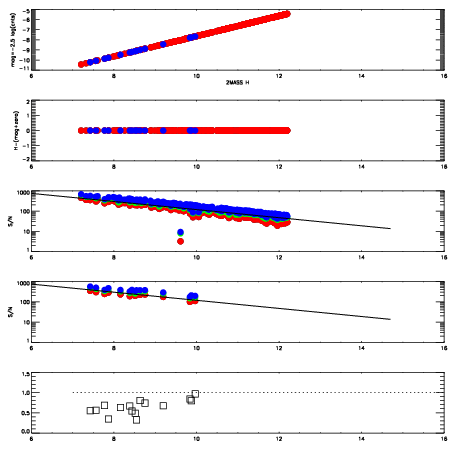
Left plots: red are targets, blue are telluric. Observed mags are calculated from median value of green chip. Zeropoint gives overall throughput: bigger number is more throughput.
First spatial plots: circles are objects, squares are tellurics, crosses are sky fibers. Colors give deviation of observed mag from expected 2MASS mag using the median zeropoint; red is brighter
Second spatial plots: circles are sky fibers. Colors give sky line brightness relative to plate median sky line brightness
FrameNreadsZeropointsMag plots Spatial mag deviation Spatial sky 16325A emission deviations (filled: sky, open: star) Spatial sky continuum emission Spatial sky telluric CO2 absorption deviations (filled: H < 10)
0 0
RedGreenBlue
z17.64
znorm Inf
sky -NaN -Inf -NaN
S/N 30.3 50.6 59.0
S/N(c) 0.0 0.0 0.0
SN(E/C) 0.67

IPAIRNAMESHIFTNEWSHIFTS/N NAMESHIFTNEWSHIFTS/N
0 17350053 0.503326 0.00000 19.1304 17350052 0.00000 0.503326 19.0657
1 17350057 0.499867 0.00345901 19.2585 17350055 0.00307179 0.500254 19.2557
2 17350054 0.502958 0.000367999 19.2309 17350056 0.00360285 0.499723 19.2520
3 17350058 0.500179 0.00314701 19.2239 17350059 0.00393698 0.499389 19.2180