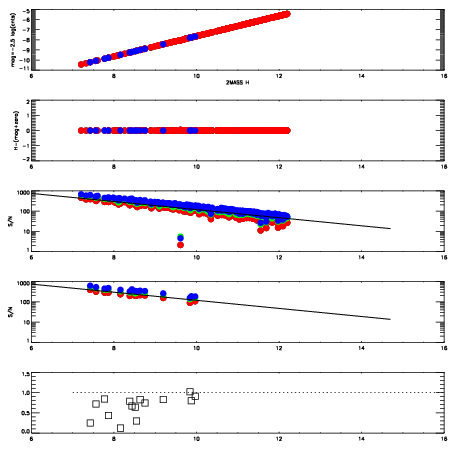
Left plots: red are targets, blue are telluric. Observed mags are calculated from median value of green chip. Zeropoint gives overall throughput: bigger number is more throughput.
First spatial plots: circles are objects, squares are tellurics, crosses are sky fibers. Colors give deviation of observed mag from expected 2MASS mag using the median zeropoint; red is brighter
Second spatial plots: circles are sky fibers. Colors give sky line brightness relative to plate median sky line brightness
FrameNreadsZeropointsMag plots Spatial mag deviation Spatial sky 16325A emission deviations (filled: sky, open: star) Spatial sky continuum emission Spatial sky telluric CO2 absorption deviations (filled: H < 10)
0 0
RedGreenBlue
z17.64
znorm Inf
sky -Inf -Inf -Inf
S/N 28.9 49.0 56.5
S/N(c) 0.0 0.0 0.0
SN(E/C) 0.74

IPAIRNAMESHIFTNEWSHIFTS/N NAMESHIFTNEWSHIFTS/N
0 17600057 0.00199294 0.00000 19.1415 17600059 -0.508128 0.510121 19.1382
1 17600058 0.00145978 0.000533160 19.1579 17600056 -0.506187 0.508180 19.1422
2 17600061 0.00180628 0.000186660 19.1238 17600055 -0.506439 0.508432 19.1336
3 17600054 0.00000 0.00199294 19.1007 17600060 -0.507827 0.509820 19.1260