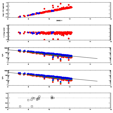
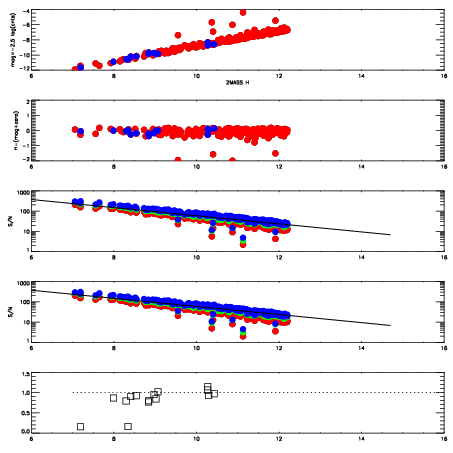
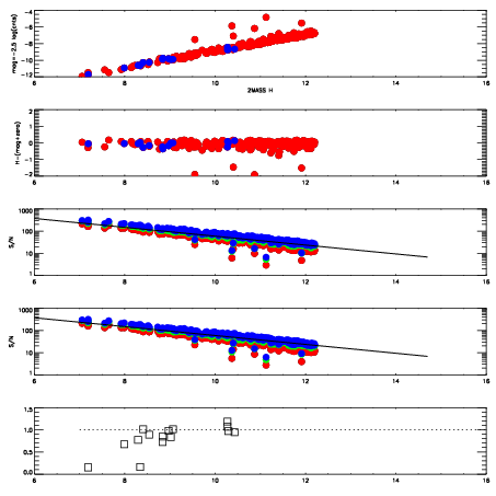
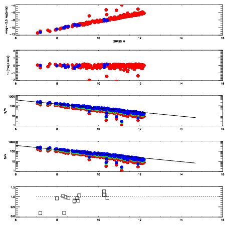
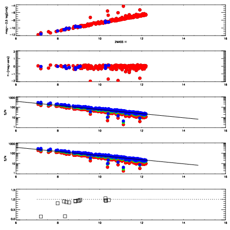
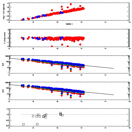
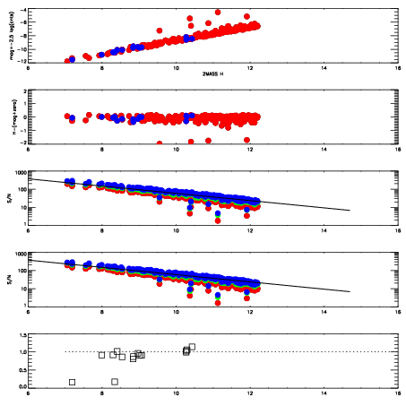
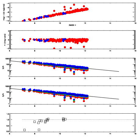
Frame | Nreads | Zeropoints | Mag plots
| Spatial mag deviation
| Spatial sky 16325A emission deviations (filled: sky, open: star)
| Spatial sky continuum emission
| Spatial sky telluric CO2 absorption deviations (filled: H < 10)
|
18480011
| 47
| | Red | Green | Blue
| z | | 18.42
| znorm | | 14.24
| sky | 13.3 | 13.1 | 13.1
| S/N | 9.2 | 15.5 | 17.3
| S/N(c) | 11.1 | 10.1 | 13.0
| SN(E/C) | 0.94
|
|
|
|
|
|
|
18480012
| 47
| | Red | Green | Blue
| z | | 18.84
| znorm | | 14.66
| sky | 13.9 | 13.8 | 13.6
| S/N | 12.8 | 20.9 | 23.3
| S/N(c) | 14.8 | 12.9 | 16.7
| SN(E/C) | 0.86
|
|
|
|
|
|
|
18480013
| 47
| | Red | Green | Blue
| z | | 18.88
| znorm | | 14.70
| sky | 14.0 | 13.8 | 13.7
| S/N | 13.1 | 21.6 | 24.1
| S/N(c) | 15.4 | 13.4 | 17.1
| SN(E/C) | 0.90
|
|
|
|
|
|
|
18480014
| 47
| | Red | Green | Blue
| z | | 18.95
| znorm | | 14.77
| sky | 14.4 | 14.2 | 14.0
| S/N | 13.7 | 22.9 | 25.5
| S/N(c) | 16.1 | 14.0 | 17.8
| SN(E/C) | 0.89
|
|
|
|
|
|
|
18480015
| 47
| | Red | Green | Blue
| z | | 18.78
| znorm | | 14.59
| sky | 13.8 | 13.7 | 13.6
| S/N | 11.8 | 20.0 | 22.3
| S/N(c) | 14.3 | 12.5 | 16.1
| SN(E/C) | 0.92
|
|
|
|
|
|
|
18480016
| 47
| | Red | Green | Blue
| z | | 18.91
| znorm | | 14.72
| sky | 14.2 | 14.1 | 13.9
| S/N | 13.1 | 22.1 | 24.3
| S/N(c) | 15.5 | 13.6 | 17.5
| SN(E/C) | 0.93
|
|
|
|
|
|
|
18480017
| 47
| | Red | Green | Blue
| z | | 18.85
| znorm | | 14.67
| sky | 14.0 | 13.9 | 13.7
| S/N | 12.5 | 21.0 | 23.1
| S/N(c) | 14.5 | 13.0 | 16.7
| SN(E/C) | 0.96
|
|
|
|
|
|
|
18480018
| 47
| | Red | Green | Blue
| z | | 18.77
| znorm | | 14.59
| sky | 13.7 | 13.6 | 13.5
| S/N | 11.8 | 19.8 | 21.7
| S/N(c) | 13.9 | 12.4 | 15.9
| SN(E/C) | 0.91
|
|
|
|
|
|
|