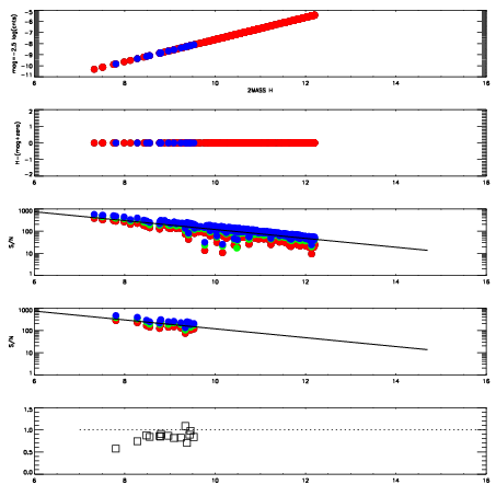
Left plots: red are targets, blue are telluric. Observed mags are calculated from median value of green chip. Zeropoint gives overall throughput: bigger number is more throughput.
First spatial plots: circles are objects, squares are tellurics, crosses are sky fibers. Colors give deviation of observed mag from expected 2MASS mag using the median zeropoint; red is brighter
Second spatial plots: circles are sky fibers. Colors give sky line brightness relative to plate median sky line brightness
FrameNreadsZeropointsMag plots Spatial mag deviation Spatial sky 16325A emission deviations (filled: sky, open: star) Spatial sky continuum emission Spatial sky telluric CO2 absorption deviations (filled: H < 10)
0 0
RedGreenBlue
z17.64
znorm Inf
sky -NaN -Inf -NaN
S/N 24.4 44.6 51.2
S/N(c) 0.0 0.0 0.0
SN(E/C) 0.85

IPAIRNAMESHIFTNEWSHIFTS/N NAMESHIFTNEWSHIFTS/N
0 19390017 0.489461 0.00000 19.0570 19390014 0.00120681 0.488254 19.0434
1 19390016 0.489380 8.10027e-05 19.0558 19390015 0.000932183 0.488529 19.0091
2 19390013 0.489314 0.000147015 19.0004 19390011 0.00000 0.489461 18.9156
3 19390012 0.488791 0.000670016 18.9391 19390018 -0.00361853 0.493080 18.8403