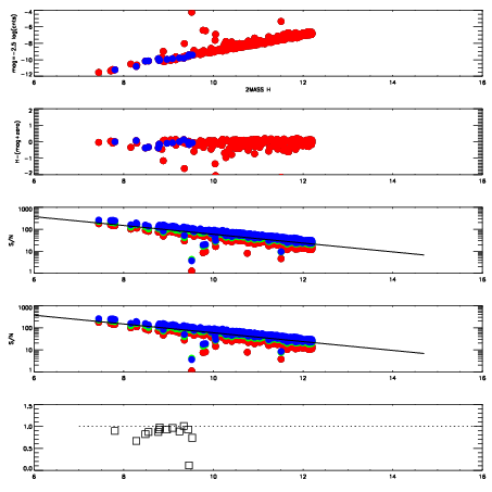
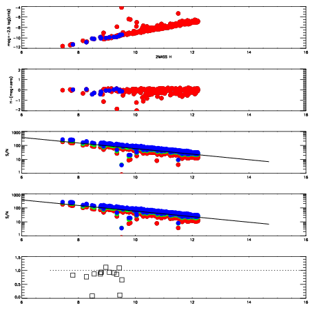
Left plots: red are targets, blue are telluric. Observed mags are calculated from median value of green chip. Zeropoint gives overall throughput: bigger number is more throughput.
First spatial plots: circles are objects, squares are tellurics, crosses are sky fibers. Colors give deviation of observed mag from expected 2MASS mag using the median zeropoint; red is brighter
Second spatial plots: circles are sky fibers. Colors give sky line brightness relative to plate median sky line brightness
FrameNreadsZeropointsMag plots Spatial mag deviation Spatial sky 16325A emission deviations (filled: sky, open: star) Spatial sky continuum emission Spatial sky telluric CO2 absorption deviations (filled: H < 10)
19410076 47
RedGreenBlue
z19.02
znorm14.84
sky 14.9 14.5 14.6
S/N 15.1 24.4 28.1
S/N(c) 23.9 24.5 18.4
SN(E/C) 0.90
19410077 47
RedGreenBlue
z19.04
znorm14.86
sky 15.0 14.6 14.7
S/N 15.1 25.1 28.8
S/N(c) 23.9 24.9 18.7
SN(E/C) 0.87