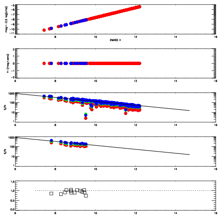
Left plots: red are targets, blue are telluric. Observed mags are calculated from median value of green chip. Zeropoint gives overall throughput: bigger number is more throughput.
First spatial plots: circles are objects, squares are tellurics, crosses are sky fibers. Colors give deviation of observed mag from expected 2MASS mag using the median zeropoint; red is brighter
Second spatial plots: circles are sky fibers. Colors give sky line brightness relative to plate median sky line brightness
FrameNreadsZeropointsMag plots Spatial mag deviation Spatial sky 16325A emission deviations (filled: sky, open: star) Spatial sky continuum emission Spatial sky telluric CO2 absorption deviations (filled: H < 10)
0 0
RedGreenBlue
z17.64
znorm Inf
sky -NaN -Inf -Inf
S/N 21.1 38.2 43.5
S/N(c) 0.0 0.0 0.0
SN(E/C) 0.94

IPAIRNAMESHIFTNEWSHIFTS/N NAMESHIFTNEWSHIFTS/N
0 19420059 0.482501 0.00000 18.3772 19420064 -0.00314632 0.485647 18.6160
1 19420062 0.480757 0.00174400 18.8285 19420061 -0.00227362 0.484775 18.7891
2 19420063 0.481009 0.00149199 18.7976 19420060 -0.00243064 0.484932 18.7444
3 19420058 0.481921 0.000580013 18.0899 19420065 -0.00413118 0.486632 18.5908
4 19420066 0.480668 0.00183299 16.8361 19420057 0.00000 0.482501 17.7961