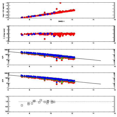
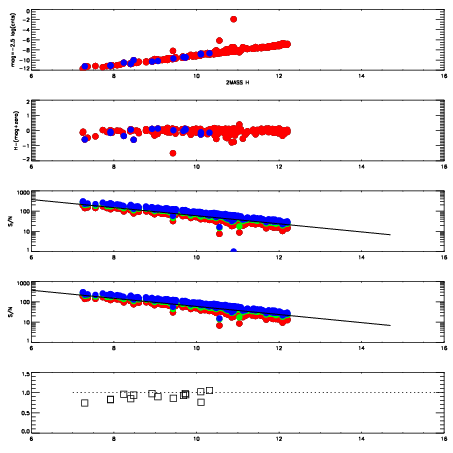
Frame | Nreads | Zeropoints | Mag plots
| Spatial mag deviation
| Spatial sky 16325A emission deviations (filled: sky, open: star)
| Spatial sky continuum emission
| Spatial sky telluric CO2 absorption deviations (filled: H < 10)
|
19710059
| 47
| | Red | Green | Blue
| z | | 19.08
| znorm | | 14.90
| sky | 14.4 | 14.4 | 14.6
| S/N | 15.7 | 26.7 | 30.3
| S/N(c) | 25.0 | 28.5 | 16.5
| SN(E/C) | 0.88
|
|
|
|
|
|
|
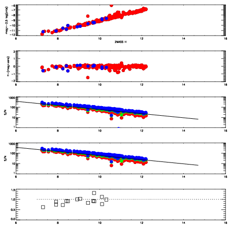
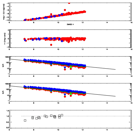
19710060
| 47
| | Red | Green | Blue
| z | | 19.11
| znorm | | 14.93
| sky | 14.6 | 14.5 | 14.6
| S/N | 16.2 | 27.1 | 30.8
| S/N(c) | 25.2 | 29.0 | 16.6
| SN(E/C) | 0.93
|
|
|
|
|
|
|
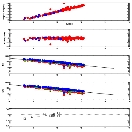
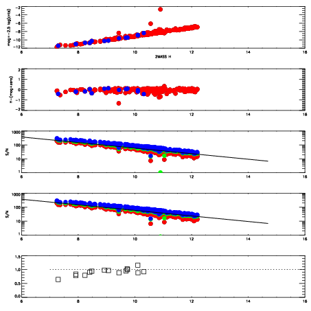
19710061
| 47
| | Red | Green | Blue
| z | | 19.10
| znorm | | 14.92
| sky | 14.7 | 14.5 | 14.6
| S/N | 16.1 | 26.7 | 30.2
| S/N(c) | 25.0 | 28.9 | 16.6
| SN(E/C) | 0.91
|
|
|
|
|
|
|
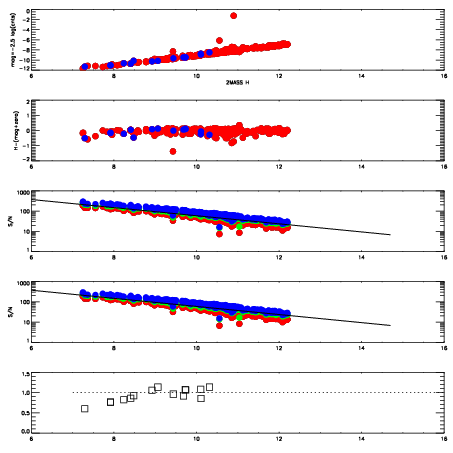
19710062
| 47
| | Red | Green | Blue
| z | | 19.08
| znorm | | 14.90
| sky | 14.7 | 14.5 | 14.7
| S/N | 15.4 | 26.0 | 30.2
| S/N(c) | 24.7 | 28.9 | 16.5
| SN(E/C) | 0.88
|
|
|
|
|
|
|
19710063
| 47
| | Red | Green | Blue
| z | | 19.09
| znorm | | 14.91
| sky | 14.7 | 14.6 | 14.7
| S/N | 15.8 | 26.3 | 29.9
| S/N(c) | 24.8 | 28.7 | 16.4
| SN(E/C) | 0.92
|
|
|
|
|
|
|
19710064
| 47
| | Red | Green | Blue
| z | | 19.10
| znorm | | 14.92
| sky | 14.5 | 14.7 | 14.8
| S/N | 16.4 | 27.1 | 30.7
| S/N(c) | 25.4 | 28.8 | 16.5
| SN(E/C) | 0.92
|
|
|
|
|
|
|
19710065
| 47
| | Red | Green | Blue
| z | | 19.17
| znorm | | 14.99
| sky | 14.7 | 14.6 | 14.7
| S/N | 17.0 | 28.8 | 32.4
| S/N(c) | 26.2 | 30.1 | 17.0
| SN(E/C) | 0.91
|
|
|
|
|
|
|
19710066
| 47
| | Red | Green | Blue
| z | | 19.18
| znorm | | 15.00
| sky | 14.5 | 14.6 | 14.6
| S/N | 17.3 | 28.7 | 32.5
| S/N(c) | 26.2 | 30.0 | 17.0
| SN(E/C) | 0.95
|
|
|
|
|
|
|