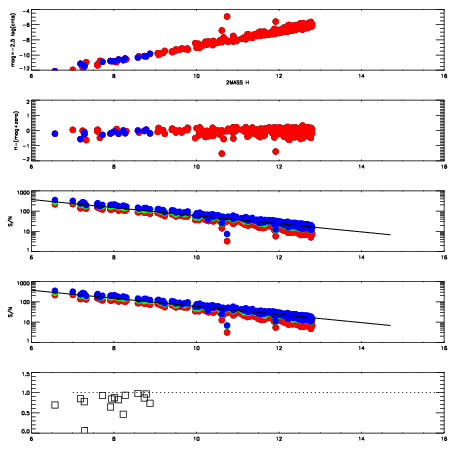
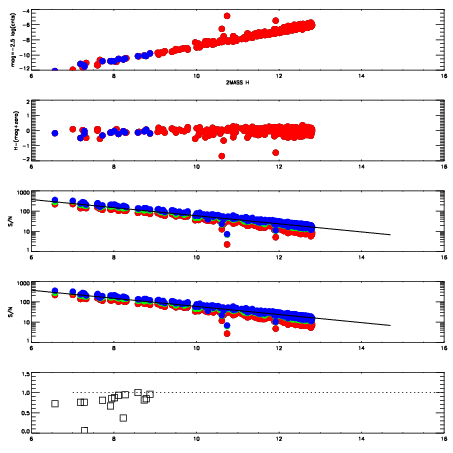
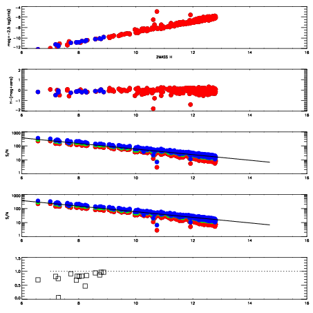
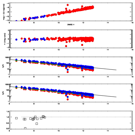
Left plots: red are targets, blue are telluric. Observed mags are calculated from median value of green chip. Zeropoint gives overall throughput: bigger number is more throughput.
First spatial plots: circles are objects, squares are tellurics, crosses are sky fibers. Colors give deviation of observed mag from expected 2MASS mag using the median zeropoint; red is brighter
Second spatial plots: circles are sky fibers. Colors give sky line brightness relative to plate median sky line brightness
FrameNreadsZeropointsMag plots Spatial mag deviation Spatial sky 16325A emission deviations (filled: sky, open: star) Spatial sky continuum emission Spatial sky telluric CO2 absorption deviations (filled: H < 10)
19750057 47
RedGreenBlue
z18.85
znorm14.67
sky 14.2 14.4 14.5
S/N 14.1 23.1 26.1
S/N(c) 14.5 19.0 9.6
SN(E/C) 0.82
19750058 47
RedGreenBlue
z18.88
znorm14.70
sky 14.6 14.7 14.7
S/N 13.8 22.4 25.5
S/N(c) 14.3 19.2 9.5
SN(E/C) 0.83
19750059 47
RedGreenBlue
z18.82
znorm14.64
sky 14.9 14.8 14.8
S/N 13.5 22.2 24.1
S/N(c) 13.9 18.3 9.3
SN(E/C) 0.87
19750060 47
RedGreenBlue
z18.90
znorm14.72
sky 14.6 14.6 15.0
S/N 14.1 23.2 26.7
S/N(c) 14.3 19.1 9.5
SN(E/C) 0.84