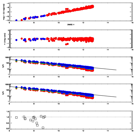
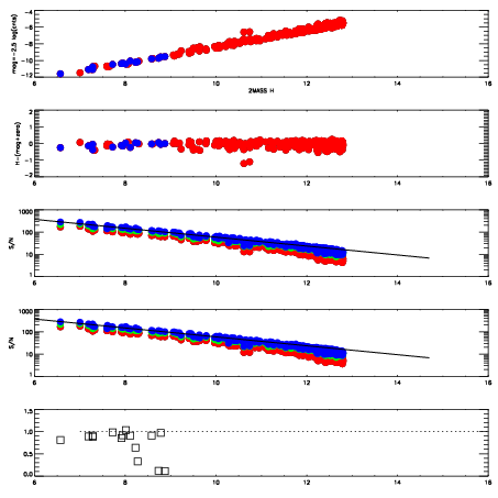
Left plots: red are targets, blue are telluric. Observed mags are calculated from median value of green chip. Zeropoint gives overall throughput: bigger number is more throughput.
First spatial plots: circles are objects, squares are tellurics, crosses are sky fibers. Colors give deviation of observed mag from expected 2MASS mag using the median zeropoint; red is brighter
Second spatial plots: circles are sky fibers. Colors give sky line brightness relative to plate median sky line brightness
FrameNreadsZeropointsMag plots Spatial mag deviation Spatial sky 16325A emission deviations (filled: sky, open: star) Spatial sky continuum emission Spatial sky telluric CO2 absorption deviations (filled: H < 10)
19820035 47
RedGreenBlue
z18.56
znorm14.38
sky 14.8 14.7 14.9
S/N 12.3 20.4 23.0
S/N(c) 18.7 9.7 37.8
SN(E/C) 0.86
19820036 47
RedGreenBlue
z18.41
znorm14.23
sky 14.7 14.8 15.0
S/N 10.6 18.5 20.3
S/N(c) 17.1 9.0 34.5
SN(E/C) 0.89