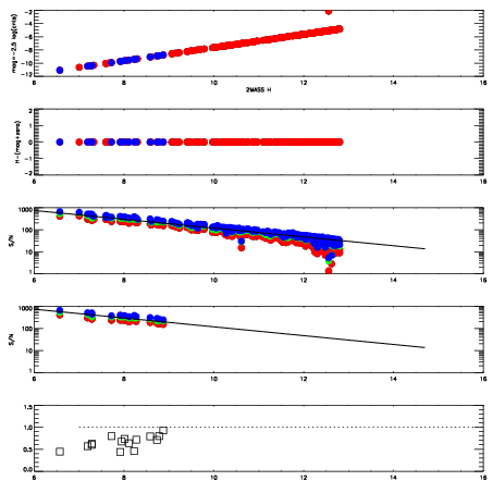
Left plots: red are targets, blue are telluric. Observed mags are calculated from median value of green chip. Zeropoint gives overall throughput: bigger number is more throughput.
First spatial plots: circles are objects, squares are tellurics, crosses are sky fibers. Colors give deviation of observed mag from expected 2MASS mag using the median zeropoint; red is brighter
Second spatial plots: circles are sky fibers. Colors give sky line brightness relative to plate median sky line brightness
FrameNreadsZeropointsMag plots Spatial mag deviation Spatial sky 16325A emission deviations (filled: sky, open: star) Spatial sky continuum emission Spatial sky telluric CO2 absorption deviations (filled: H < 10)
0 0
RedGreenBlue
z17.64
znorm Inf
sky -Inf -Inf -Inf
S/N 25.1 42.6 45.9
S/N(c) 0.0 0.0 0.0
SN(E/C) 0.67

IPAIRNAMESHIFTNEWSHIFTS/N NAMESHIFTNEWSHIFTS/N
0 20030026 0.498333 0.00000 18.9279 20030028 -0.00676173 0.505095 18.9698
1 20030027 0.497322 0.00101101 18.9778 20030025 0.00111343 0.497220 18.9731
2 20030022 0.493856 0.00447699 18.6601 20030024 0.00107568 0.497257 18.8943
3 20030023 0.494654 0.00367901 18.5351 20030021 0.00000 0.498333 18.4862