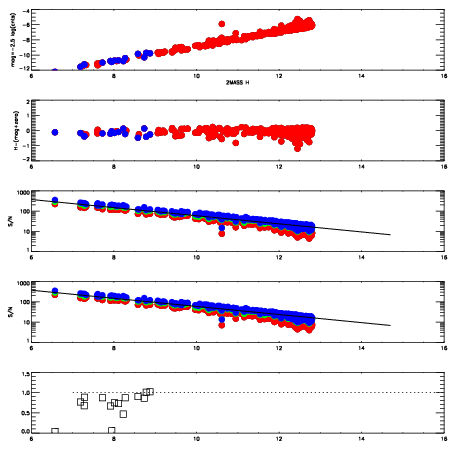
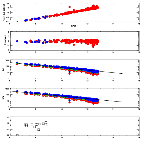
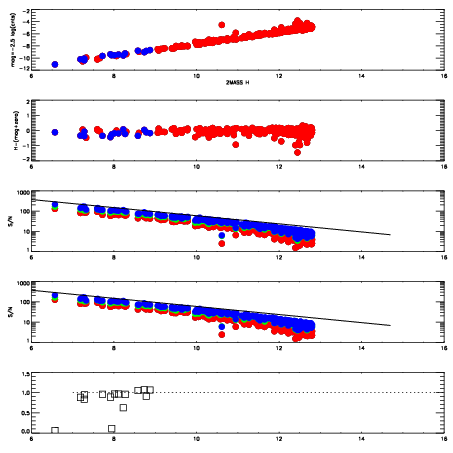
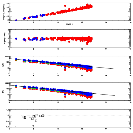
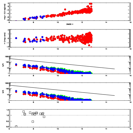
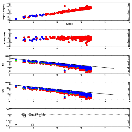
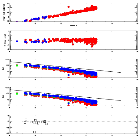
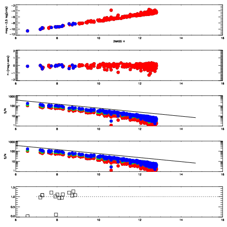
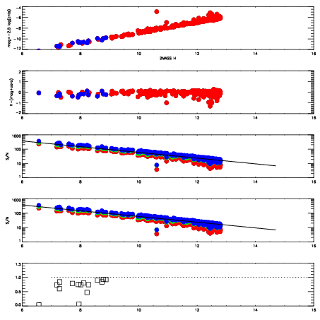
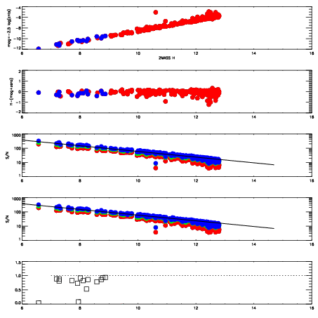
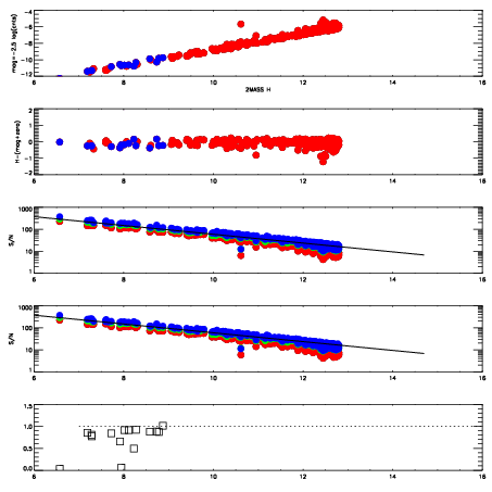
Frame | Nreads | Zeropoints | Mag plots
| Spatial mag deviation
| Spatial sky 16325A emission deviations (filled: sky, open: star)
| Spatial sky continuum emission
| Spatial sky telluric CO2 absorption deviations (filled: H < 10)
|
20060035
| 47
| | Red | Green | Blue
| z | | 17.73
| znorm | | 13.55
| sky | 14.6 | 14.4 | 14.8
| S/N | 6.5 | 12.2 | 13.8
| S/N(c) | 12.6 | 6.3 | 20.0
| SN(E/C) | 0.94
|
|
|
|
|
|
|
20060036
| 47
| | Red | Green | Blue
| z | | 18.59
| znorm | | 14.41
| sky | 14.8 | 14.6 | 14.8
| S/N | 12.6 | 21.1 | 23.2
| S/N(c) | 23.5 | 9.9 | 32.6
| SN(E/C) | 0.82
|
|
|
|
|
|
|
20060037
| 47
| | Red | Green | Blue
| z | | 18.88
| znorm | | 14.70
| sky | 14.9 | 14.7 | 14.8
| S/N | 14.8 | 24.2 | 27.2
| S/N(c) | 27.0 | 11.4 | 37.7
| SN(E/C) | 0.75
|
|
|
|
|
|
|
20060038
| 47
| | Red | Green | Blue
| z | | 17.71
| znorm | | 13.53
| sky | 14.9 | 14.8 | 14.7
| S/N | 6.1 | 11.8 | 12.7
| S/N(c) | 12.7 | 6.2 | 19.9
| SN(E/C) | 0.96
|
|
|
|
|
|
|
20060039
| 47
| | Red | Green | Blue
| z | | 17.09
| znorm | | 12.91
| sky | 14.5 | 14.6 | 14.8
| S/N | 3.3 | 7.6 | 8.3
| S/N(c) | 8.2 | 4.4 | 13.5
| SN(E/C) | 0.90
|
|
|
|
|
|
|
20060040
| 47
| | Red | Green | Blue
| z | | 18.54
| znorm | | 14.36
| sky | 14.5 | 14.5 | 14.9
| S/N | 11.7 | 21.1 | 22.8
| S/N(c) | 21.0 | 9.5 | 30.7
| SN(E/C) | 0.86
|
|
|
|
|
|
|
20060041
| 47
| | Red | Green | Blue
| z | | 18.84
| znorm | | 14.66
| sky | 14.7 | 14.7 | 14.9
| S/N | 14.5 | 23.7 | 27.1
| S/N(c) | 26.1 | 11.4 | 36.7
| SN(E/C) | 0.86
|
|
|
|
|
|
|
20060042
| 47
| | Red | Green | Blue
| z | | 14.91
| znorm | | 10.73
| sky | 14.7 | 14.8 | 15.0
| S/N | 0.4 | 1.1 | 1.0
| S/N(c) | 0.9 | 0.8 | 1.8
| SN(E/C) | 1.10
|
|
|
|
|
|
|
20060043
| 47
| | Red | Green | Blue
| z | | 17.28
| znorm | | 13.10
| sky | 14.8 | 14.9 | 14.7
| S/N | 4.4 | 8.9 | 9.9
| S/N(c) | 9.1 | 4.8 | 15.6
| SN(E/C) | 1.07
|
|
|
|
|
|
|
20060044
| 47
| | Red | Green | Blue
| z | | 18.79
| znorm | | 14.61
| sky | 14.7 | 14.7 | 14.8
| S/N | 14.1 | 23.3 | 26.4
| S/N(c) | 25.0 | 10.9 | 35.4
| SN(E/C) | 0.89
|
|
|
|
|
|
|
20060045
| 47
| | Red | Green | Blue
| z | | 18.91
| znorm | | 14.73
| sky | 14.9 | 14.8 | 14.9
| S/N | 15.2 | 25.0 | 27.9
| S/N(c) | 26.7 | 11.9 | 37.7
| SN(E/C) | 0.77
|
|
|
|
|
|
|