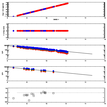
Left plots: red are targets, blue are telluric. Observed mags are calculated from median value of green chip. Zeropoint gives overall throughput: bigger number is more throughput.
First spatial plots: circles are objects, squares are tellurics, crosses are sky fibers. Colors give deviation of observed mag from expected 2MASS mag using the median zeropoint; red is brighter
Second spatial plots: circles are sky fibers. Colors give sky line brightness relative to plate median sky line brightness
FrameNreadsZeropointsMag plots Spatial mag deviation Spatial sky 16325A emission deviations (filled: sky, open: star) Spatial sky continuum emission Spatial sky telluric CO2 absorption deviations (filled: H < 10)
0 0
RedGreenBlue
z17.64
znorm Inf
sky -Inf -Inf -Inf
S/N 20.1 37.9 40.1
S/N(c) 0.0 0.0 0.0
SN(E/C) 0.85

IPAIRNAMESHIFTNEWSHIFTS/N NAMESHIFTNEWSHIFTS/N
0 17660049 0.504459 0.00000 18.7930 17660054 0.00425192 0.500207 18.7880
1 17660048 0.503298 0.00116104 18.8670 17660051 0.00414619 0.500313 18.8588
2 17660052 0.502487 0.00197202 18.8587 17660050 0.00392817 0.500531 18.8214
3 17660053 0.503187 0.00127202 18.8372 17660047 0.00000 0.504459 18.8006