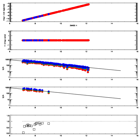
Left plots: red are targets, blue are telluric. Observed mags are calculated from median value of green chip. Zeropoint gives overall throughput: bigger number is more throughput.
First spatial plots: circles are objects, squares are tellurics, crosses are sky fibers. Colors give deviation of observed mag from expected 2MASS mag using the median zeropoint; red is brighter
Second spatial plots: circles are sky fibers. Colors give sky line brightness relative to plate median sky line brightness
FrameNreadsZeropointsMag plots Spatial mag deviation Spatial sky 16325A emission deviations (filled: sky, open: star) Spatial sky continuum emission Spatial sky telluric CO2 absorption deviations (filled: H < 10)
0 0
RedGreenBlue
z17.64
znorm Inf
sky -Inf -Inf -Inf
S/N 23.6 40.1 46.0
S/N(c) 0.0 0.0 0.0
SN(E/C) 0.72

IPAIRNAMESHIFTNEWSHIFTS/N NAMESHIFTNEWSHIFTS/N
0 17620029 0.501563 0.00000 18.8950 17620023 0.00000 0.501563 19.0716
1 17620025 0.501304 0.000259042 18.7391 17620026 0.00100658 0.500556 18.7989
2 17620024 0.501097 0.000465989 18.7300 17620027 0.000761140 0.500802 18.7738
3 17620028 0.501472 9.10163e-05 18.6980 17620030 0.00427262 0.497290 18.7734