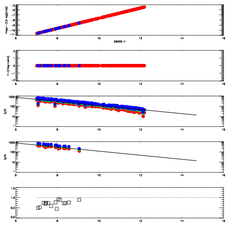
Left plots: red are targets, blue are telluric. Observed mags are calculated from median value of green chip. Zeropoint gives overall throughput: bigger number is more throughput.
First spatial plots: circles are objects, squares are tellurics, crosses are sky fibers. Colors give deviation of observed mag from expected 2MASS mag using the median zeropoint; red is brighter
Second spatial plots: circles are sky fibers. Colors give sky line brightness relative to plate median sky line brightness
FrameNreadsZeropointsMag plots Spatial mag deviation Spatial sky 16325A emission deviations (filled: sky, open: star) Spatial sky continuum emission Spatial sky telluric CO2 absorption deviations (filled: H < 10)
0 0
RedGreenBlue
z17.64
znorm Inf
sky -Inf -Inf -Inf
S/N 26.7 42.1 52.2
S/N(c) 0.0 0.0 0.0
SN(E/C) 0.73

IPAIRNAMESHIFTNEWSHIFTS/N NAMESHIFTNEWSHIFTS/N
0 17880039 0.507204 0.00000 19.0730 17880040 0.00233367 0.504870 19.0893
1 17880038 0.506754 0.000450015 19.0769 17880044 0.00238752 0.504816 19.1201
2 17880043 0.505779 0.00142497 19.0705 17880037 0.00000 0.507204 19.0350
3 17880042 0.505645 0.00155902 18.9310 17880041 0.00188617 0.505318 18.8550