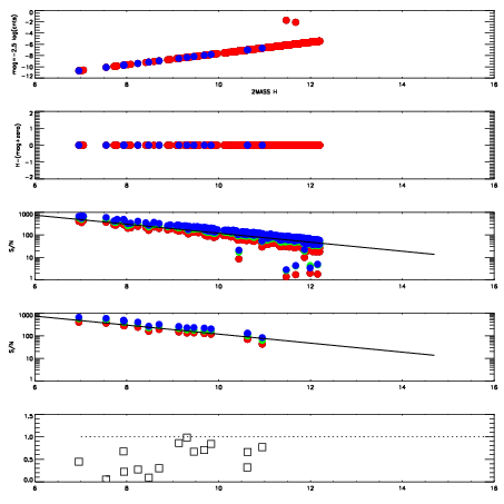
Left plots: red are targets, blue are telluric. Observed mags are calculated from median value of green chip. Zeropoint gives overall throughput: bigger number is more throughput.
First spatial plots: circles are objects, squares are tellurics, crosses are sky fibers. Colors give deviation of observed mag from expected 2MASS mag using the median zeropoint; red is brighter
Second spatial plots: circles are sky fibers. Colors give sky line brightness relative to plate median sky line brightness
FrameNreadsZeropointsMag plots Spatial mag deviation Spatial sky 16325A emission deviations (filled: sky, open: star) Spatial sky continuum emission Spatial sky telluric CO2 absorption deviations (filled: H < 10)
0 0
RedGreenBlue
z17.63
znorm Inf
sky -Inf -NaN -NaN
S/N 26.7 48.0 53.2
S/N(c) 0.0 0.0 0.0
SN(E/C) 0.66

IPAIRNAMESHIFTNEWSHIFTS/N NAMESHIFTNEWSHIFTS/N
0 17960017 0.504082 0.00000 19.0615 17960018 0.00115451 0.502928 18.9988
1 17960016 0.503052 0.00103003 19.0392 17960015 -0.00118157 0.505264 18.9928
2 17960012 0.503086 0.000996053 18.9808 17960014 -0.00164210 0.505724 18.9763
3 17960013 0.502962 0.00112003 18.9629 17960011 0.00000 0.504082 18.9650