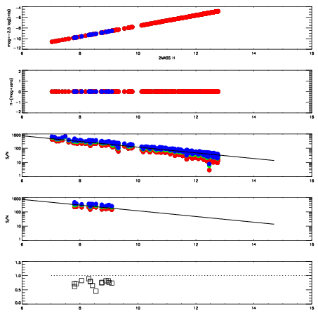
Left plots: red are targets, blue are telluric. Observed mags are calculated from median value of green chip. Zeropoint gives overall throughput: bigger number is more throughput.
First spatial plots: circles are objects, squares are tellurics, crosses are sky fibers. Colors give deviation of observed mag from expected 2MASS mag using the median zeropoint; red is brighter
Second spatial plots: circles are sky fibers. Colors give sky line brightness relative to plate median sky line brightness
FrameNreadsZeropointsMag plots Spatial mag deviation Spatial sky 16325A emission deviations (filled: sky, open: star) Spatial sky continuum emission Spatial sky telluric CO2 absorption deviations (filled: H < 10)
0 0
RedGreenBlue
z17.64
znorm Inf
sky -NaN -NaN -NaN
S/N 23.8 41.6 46.7
S/N(c) 0.0 0.0 0.0
SN(E/C) 0.75

IPAIRNAMESHIFTNEWSHIFTS/N NAMESHIFTNEWSHIFTS/N
0 20030012 0.490679 0.00000 18.9157 20030013 -0.00372557 0.494405 18.8370
1 20030015 0.489723 0.000955999 18.9931 20030017 -0.00566937 0.496348 18.9836
2 20030016 0.490498 0.000180990 18.9317 20030014 -0.00316301 0.493842 18.8794
3 20030011 0.490224 0.000454992 18.8312 20030010 0.00000 0.490679 18.7786