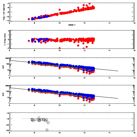
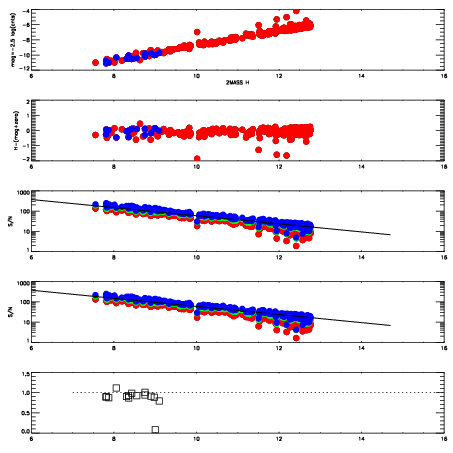
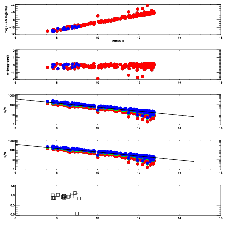
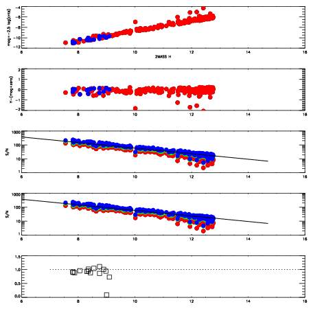
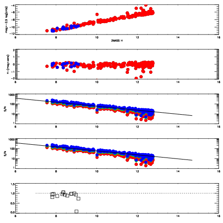
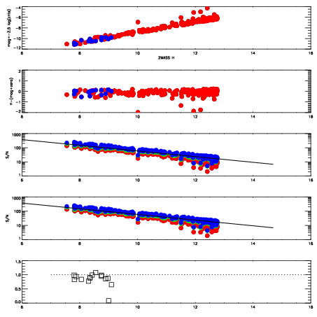
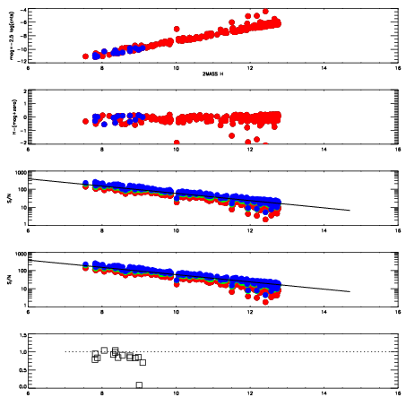
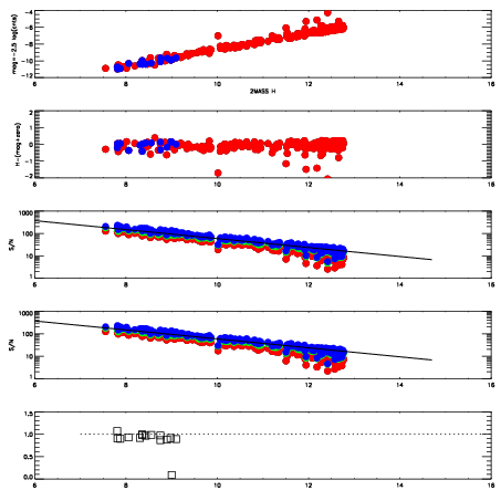
Frame | Nreads | Zeropoints | Mag plots
| Spatial mag deviation
| Spatial sky 16325A emission deviations (filled: sky, open: star)
| Spatial sky continuum emission
| Spatial sky telluric CO2 absorption deviations (filled: H < 10)
|
19730057
| 47
| | Red | Green | Blue
| z | | 18.80
| znorm | | 14.62
| sky | 14.9 | 14.6 | 14.6
| S/N | 13.0 | 21.5 | 23.7
| S/N(c) | 18.0 | 39.0 | 48.9
| SN(E/C) | 0.94
|
|
|
|
|
|
|
19730058
| 47
| | Red | Green | Blue
| z | | 18.74
| znorm | | 14.56
| sky | 15.2 | 14.7 | 14.6
| S/N | 12.8 | 21.3 | 23.1
| S/N(c) | 17.7 | 38.3 | 48.5
| SN(E/C) | 0.92
|
|
|
|
|
|
|
19730059
| 47
| | Red | Green | Blue
| z | | 18.85
| znorm | | 14.67
| sky | 14.6 | 14.7 | 14.8
| S/N | 13.7 | 22.9 | 24.9
| S/N(c) | 18.8 | 40.1 | 51.4
| SN(E/C) | 0.90
|
|
|
|
|
|
|
19730060
| 47
| | Red | Green | Blue
| z | | 18.92
| znorm | | 14.74
| sky | 14.8 | 14.7 | 14.8
| S/N | 13.9 | 23.6 | 25.7
| S/N(c) | 19.6 | 41.6 | 53.1
| SN(E/C) | 0.91
|
|
|
|
|
|
|
19730061
| 47
| | Red | Green | Blue
| z | | 18.86
| znorm | | 14.68
| sky | 15.3 | 14.9 | 14.8
| S/N | 13.8 | 23.0 | 25.0
| S/N(c) | 19.2 | 41.1 | 51.7
| SN(E/C) | 0.93
|
|
|
|
|
|
|
19730062
| 47
| | Red | Green | Blue
| z | | 18.78
| znorm | | 14.60
| sky | 15.0 | 14.7 | 14.8
| S/N | 13.1 | 21.8 | 24.2
| S/N(c) | 18.5 | 39.2 | 49.7
| SN(E/C) | 0.93
|
|
|
|
|
|
|
19730063
| 47
| | Red | Green | Blue
| z | | 18.90
| znorm | | 14.72
| sky | 15.0 | 14.8 | 14.8
| S/N | 13.7 | 23.1 | 25.3
| S/N(c) | 19.7 | 41.7 | 52.8
| SN(E/C) | 0.89
|
|
|
|
|
|
|
19730064
| 47
| | Red | Green | Blue
| z | | 18.92
| znorm | | 14.74
| sky | 15.0 | 14.7 | 14.9
| S/N | 14.1 | 23.3 | 25.9
| S/N(c) | 20.0 | 42.1 | 53.7
| SN(E/C) | 0.85
|
|
|
|
|
|
|