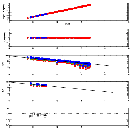
Left plots: red are targets, blue are telluric. Observed mags are calculated from median value of green chip. Zeropoint gives overall throughput: bigger number is more throughput.
First spatial plots: circles are objects, squares are tellurics, crosses are sky fibers. Colors give deviation of observed mag from expected 2MASS mag using the median zeropoint; red is brighter
Second spatial plots: circles are sky fibers. Colors give sky line brightness relative to plate median sky line brightness
FrameNreadsZeropointsMag plots Spatial mag deviation Spatial sky 16325A emission deviations (filled: sky, open: star) Spatial sky continuum emission Spatial sky telluric CO2 absorption deviations (filled: H < 10)
0 0
RedGreenBlue
z17.64
znorm Inf
sky -Inf -Inf -Inf
S/N 24.1 41.8 47.4
S/N(c) 0.0 0.0 0.0
SN(E/C) 0.86

IPAIRNAMESHIFTNEWSHIFTS/N NAMESHIFTNEWSHIFTS/N
0 19730059 0.500405 0.00000 18.8180 19730060 0.00193129 0.498474 18.8776
1 19730063 0.497899 0.00250602 18.8598 19730064 0.00317323 0.497232 18.8799
2 19730062 0.497507 0.00289801 18.7400 19730061 0.00239736 0.498008 18.8244
3 19730058 0.499841 0.000564009 18.7106 19730057 0.00000 0.500405 18.7689