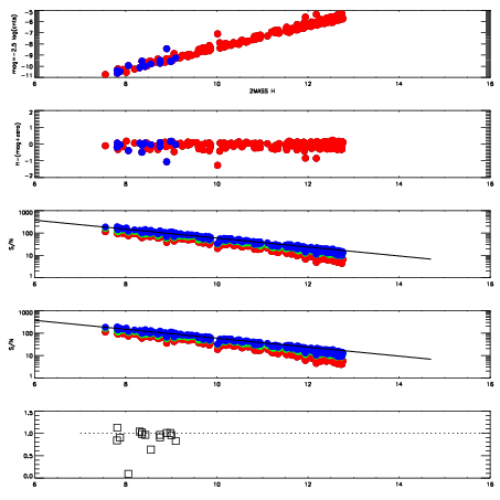
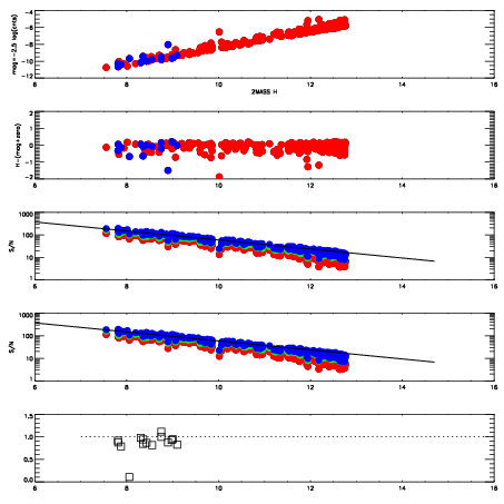
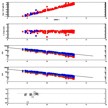
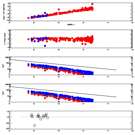
Left plots: red are targets, blue are telluric. Observed mags are calculated from median value of green chip. Zeropoint gives overall throughput: bigger number is more throughput.
First spatial plots: circles are objects, squares are tellurics, crosses are sky fibers. Colors give deviation of observed mag from expected 2MASS mag using the median zeropoint; red is brighter
Second spatial plots: circles are sky fibers. Colors give sky line brightness relative to plate median sky line brightness
FrameNreadsZeropointsMag plots Spatial mag deviation Spatial sky 16325A emission deviations (filled: sky, open: star) Spatial sky continuum emission Spatial sky telluric CO2 absorption deviations (filled: H < 10)
19770011 47
RedGreenBlue
z18.38
znorm14.20
sky 14.5 14.5 14.6
S/N 9.2 16.7 18.5
S/N(c) 8.0 9.6 19.6
SN(E/C) 0.96
19770012 47
RedGreenBlue
z18.46
znorm14.28
sky 14.9 14.8 14.8
S/N 9.5 17.3 19.0
S/N(c) 8.1 9.8 19.8
SN(E/C) 0.91
19770013 47
RedGreenBlue
z18.42
znorm14.24
sky 14.9 14.9 14.8
S/N 9.6 17.0 18.8
S/N(c) 7.6 9.4 19.0
SN(E/C) 0.87
19770014 47
RedGreenBlue
z16.00
znorm11.82
sky 14.7 14.9 15.0
S/N 1.2 3.1 3.2
S/N(c) 1.4 2.4 4.6
SN(E/C) 1.08