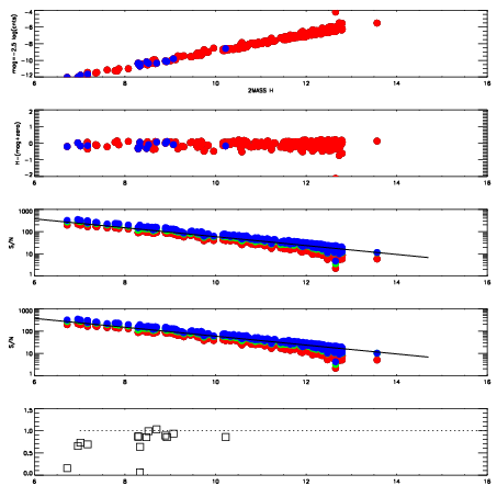
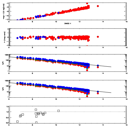
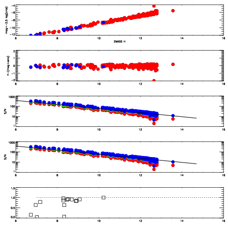
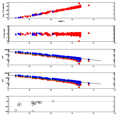
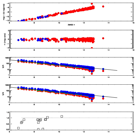
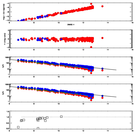
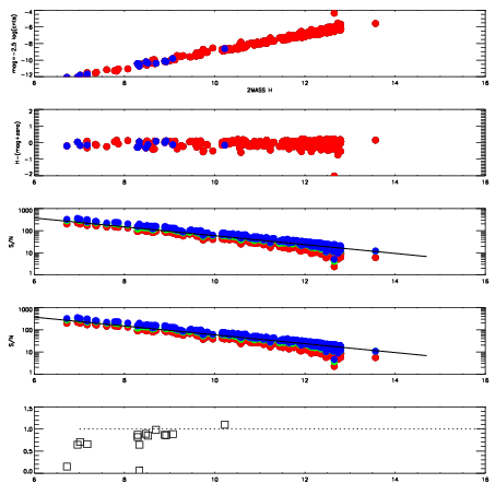
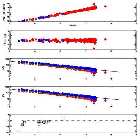
Frame | Nreads | Zeropoints | Mag plots
| Spatial mag deviation
| Spatial sky 16325A emission deviations (filled: sky, open: star)
| Spatial sky continuum emission
| Spatial sky telluric CO2 absorption deviations (filled: H < 10)
|
20040015
| 47
| | Red | Green | Blue
| z | | 18.91
| znorm | | 14.73
| sky | 14.5 | 14.6 | 14.7
| S/N | 15.8 | 24.9 | 28.0
| S/N(c) | 30.3 | 22.8 | 26.6
| SN(E/C) | 0.80
|
|
|
|
|
|
|
20040016
| 47
| | Red | Green | Blue
| z | | 18.94
| znorm | | 14.76
| sky | 14.8 | 14.7 | 14.8
| S/N | 16.4 | 25.2 | 28.1
| S/N(c) | 30.8 | 23.3 | 27.3
| SN(E/C) | 0.84
|
|
|
|
|
|
|
20040017
| 47
| | Red | Green | Blue
| z | | 18.95
| znorm | | 14.77
| sky | 14.6 | 14.7 | 14.7
| S/N | 16.4 | 25.3 | 28.3
| S/N(c) | 30.9 | 23.8 | 27.5
| SN(E/C) | 0.84
|
|
|
|
|
|
|
20040018
| 47
| | Red | Green | Blue
| z | | 18.94
| znorm | | 14.76
| sky | 14.7 | 14.6 | 14.8
| S/N | 16.2 | 25.2 | 27.9
| S/N(c) | 30.7 | 23.5 | 27.3
| SN(E/C) | 0.85
|
|
|
|
|
|
|
20040019
| 47
| | Red | Green | Blue
| z | | 18.97
| znorm | | 14.79
| sky | 14.7 | 14.7 | 15.0
| S/N | 16.2 | 25.5 | 28.8
| S/N(c) | 31.2 | 24.0 | 27.6
| SN(E/C) | 0.85
|
|
|
|
|
|
|
20040020
| 47
| | Red | Green | Blue
| z | | 19.00
| znorm | | 14.82
| sky | 14.4 | 14.8 | 14.9
| S/N | 16.6 | 25.8 | 29.3
| S/N(c) | 31.8 | 24.3 | 28.1
| SN(E/C) | 0.85
|
|
|
|
|
|
|
20040021
| 47
| | Red | Green | Blue
| z | | 18.97
| znorm | | 14.79
| sky | 14.7 | 14.8 | 14.8
| S/N | 16.3 | 25.3 | 28.3
| S/N(c) | 31.0 | 23.7 | 27.5
| SN(E/C) | 0.85
|
|
|
|
|
|
|
20040022
| 47
| | Red | Green | Blue
| z | | 18.97
| znorm | | 14.79
| sky | 14.8 | 14.8 | 14.6
| S/N | 16.4 | 25.5 | 28.5
| S/N(c) | 30.8 | 23.8 | 27.7
| SN(E/C) | 0.81
|
|
|
|
|
|
|
20040023
| 47
| | Red | Green | Blue
| z | | 19.01
| znorm | | 14.83
| sky | 14.7 | 14.6 | 14.7
| S/N | 16.7 | 25.9 | 28.8
| S/N(c) | 31.4 | 24.3 | 28.2
| SN(E/C) | 0.80
|
|
|
|
|
|
|
20040024
| 47
| | Red | Green | Blue
| z | | 19.04
| znorm | | 14.86
| sky | 14.3 | 14.3 | 14.2
| S/N | 16.6 | 26.1 | 29.0
| S/N(c) | 31.8 | 24.5 | 28.6
| SN(E/C) | 0.80
|
|
|
|
|
|
|