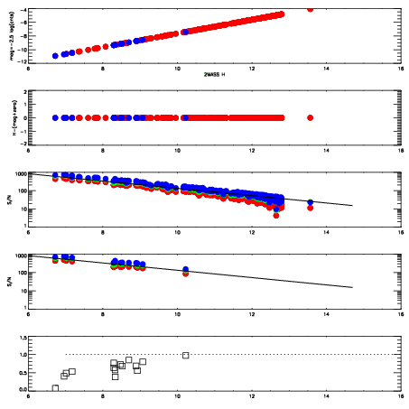
Left plots: red are targets, blue are telluric. Observed mags are calculated from median value of green chip. Zeropoint gives overall throughput: bigger number is more throughput.
First spatial plots: circles are objects, squares are tellurics, crosses are sky fibers. Colors give deviation of observed mag from expected 2MASS mag using the median zeropoint; red is brighter
Second spatial plots: circles are sky fibers. Colors give sky line brightness relative to plate median sky line brightness
FrameNreadsZeropointsMag plots Spatial mag deviation Spatial sky 16325A emission deviations (filled: sky, open: star) Spatial sky continuum emission Spatial sky telluric CO2 absorption deviations (filled: H < 10)
0 0
RedGreenBlue
z17.64
znorm Inf
sky -Inf -Inf -Inf
S/N 33.3 53.3 60.0
S/N(c) 0.0 0.0 0.0
SN(E/C) 0.63

IPAIRNAMESHIFTNEWSHIFTS/N NAMESHIFTNEWSHIFTS/N
0 20040019 0.000928017 0.00000 18.9363 20040017 -0.505172 0.506100 18.9307
1 20040023 -0.00178148 0.00270950 18.9947 20040024 -0.505668 0.506596 19.0212
2 20040022 -0.00227282 0.00320084 18.9437 20040020 -0.504725 0.505653 18.9624
3 20040018 0.000713969 0.000214048 18.9123 20040021 -0.505246 0.506174 18.9264
4 20040015 0.00000 0.000928017 18.8662 20040016 -0.504307 0.505235 18.9228