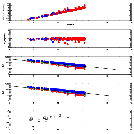
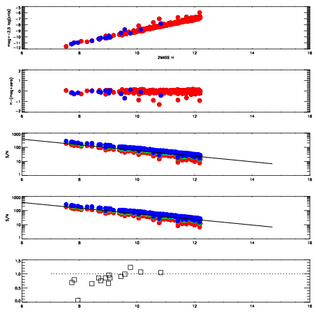
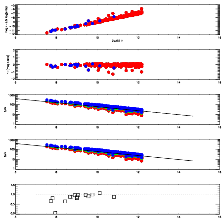
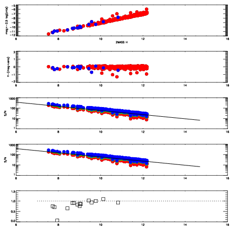
Left plots: red are targets, blue are telluric. Observed mags are calculated from median value of green chip. Zeropoint gives overall throughput: bigger number is more throughput.
First spatial plots: circles are objects, squares are tellurics, crosses are sky fibers. Colors give deviation of observed mag from expected 2MASS mag using the median zeropoint; red is brighter
Second spatial plots: circles are sky fibers. Colors give sky line brightness relative to plate median sky line brightness
FrameNreadsZeropointsMag plots Spatial mag deviation Spatial sky 16325A emission deviations (filled: sky, open: star) Spatial sky continuum emission Spatial sky telluric CO2 absorption deviations (filled: H < 10)
19990016 47
RedGreenBlue
z19.08
znorm14.90
sky 13.9 13.8 13.7
S/N 15.5 24.4 29.0
S/N(c) 21.6 21.7 14.2
SN(E/C) 0.86
19990017 47
RedGreenBlue
z19.07
znorm14.89
sky 13.9 13.9 13.8
S/N 15.4 24.1 28.5
S/N(c) 21.2 21.3 13.9
SN(E/C) 0.87
19990018 47
RedGreenBlue
z19.09
znorm14.91
sky 13.9 13.9 13.9
S/N 15.6 24.4 29.1
S/N(c) 21.5 21.6 14.3
SN(E/C) 0.84
19990019 47
RedGreenBlue
z19.06
znorm14.88
sky 14.2 14.0 13.9
S/N 15.3 24.2 28.3
S/N(c) 21.1 21.5 14.1
SN(E/C) 0.86