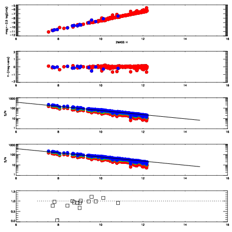
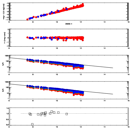
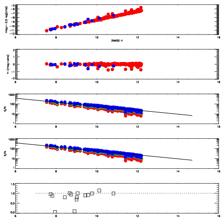
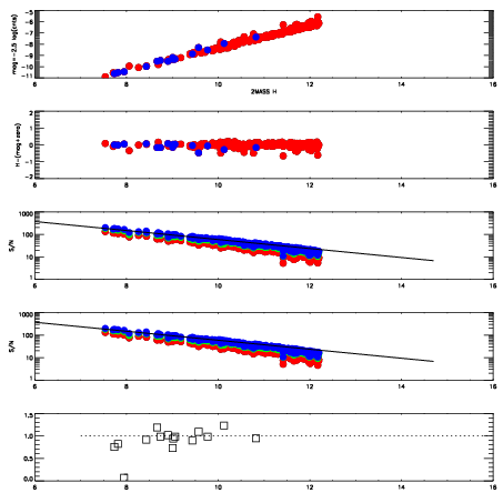
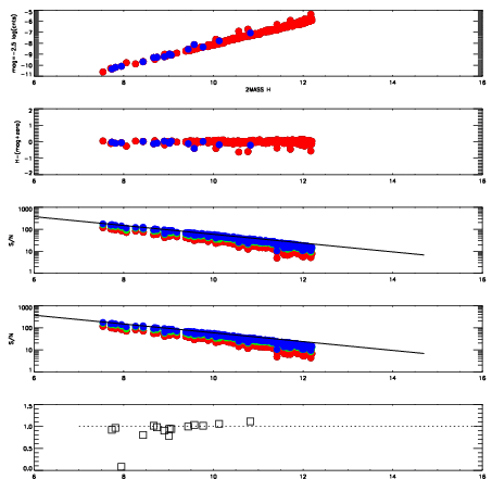
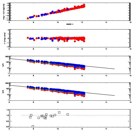
Left plots: red are targets, blue are telluric. Observed mags are calculated from median value of green chip. Zeropoint gives overall throughput: bigger number is more throughput.
First spatial plots: circles are objects, squares are tellurics, crosses are sky fibers. Colors give deviation of observed mag from expected 2MASS mag using the median zeropoint; red is brighter
Second spatial plots: circles are sky fibers. Colors give sky line brightness relative to plate median sky line brightness
FrameNreadsZeropointsMag plots Spatial mag deviation Spatial sky 16325A emission deviations (filled: sky, open: star) Spatial sky continuum emission Spatial sky telluric CO2 absorption deviations (filled: H < 10)
20000022 47
RedGreenBlue
z18.10
znorm13.92
sky 14.0 13.9 13.9
S/N 7.9 13.6 15.4
S/N(c) 11.9 12.6 8.5
SN(E/C) 0.96
20000023 47
RedGreenBlue
z18.18
znorm14.00
sky 14.0 14.0 14.0
S/N 8.1 14.3 16.2
S/N(c) 12.6 13.2 9.0
SN(E/C) 0.98
20000024 47
RedGreenBlue
z18.58
znorm14.40
sky 13.9 13.9 14.0
S/N 11.1 18.6 21.4
S/N(c) 16.2 16.8 11.1
SN(E/C) 0.91
20000025 47
RedGreenBlue
z18.53
znorm14.35
sky 14.0 14.0 14.0
S/N 10.7 18.1 20.7
S/N(c) 16.3 16.6 10.8
SN(E/C) 0.94
20000026 47
RedGreenBlue
z18.57
znorm14.39
sky 13.9 13.9 14.0
S/N 10.8 18.4 20.4
S/N(c) 16.4 16.8 11.0
SN(E/C) 0.93
20000027 47
RedGreenBlue
z18.34
znorm14.16
sky 14.0 14.0 13.9
S/N 9.2 15.9 17.9
S/N(c) 14.0 14.7 9.5
SN(E/C) 0.95