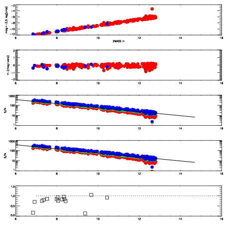
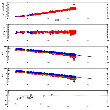
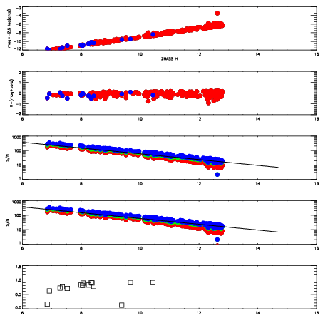
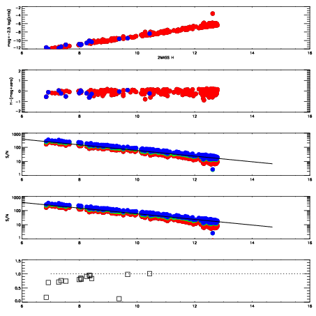
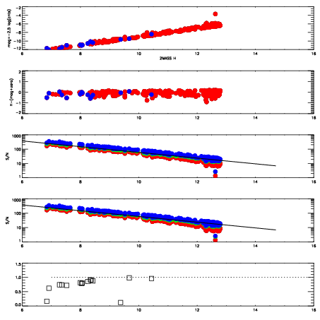
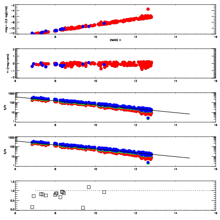
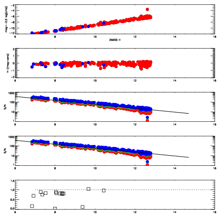
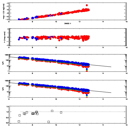
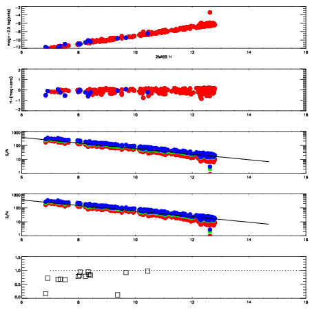
Frame | Nreads | Zeropoints | Mag plots
| Spatial mag deviation
| Spatial sky 16325A emission deviations (filled: sky, open: star)
| Spatial sky continuum emission
| Spatial sky telluric CO2 absorption deviations (filled: H < 10)
|
19760046
| 47
| | Red | Green | Blue
| z | | 18.92
| znorm | | 14.74
| sky | 14.6 | 14.4 | 14.7
| S/N | 13.9 | 22.3 | 25.5
| S/N(c) | 38.2 | 18.1 | 17.8
| SN(E/C) | 0.82
|
|
|
|
|
|
|
19760047
| 47
| | Red | Green | Blue
| z | | 18.95
| znorm | | 14.77
| sky | 14.7 | 14.7 | 14.7
| S/N | 13.8 | 22.4 | 25.5
| S/N(c) | 38.3 | 18.2 | 17.8
| SN(E/C) | 0.82
|
|
|
|
|
|
|
19760048
| 47
| | Red | Green | Blue
| z | | 19.02
| znorm | | 14.84
| sky | 14.8 | 14.6 | 14.9
| S/N | 14.2 | 22.9 | 26.5
| S/N(c) | 39.4 | 18.8 | 18.5
| SN(E/C) | 0.81
|
|
|
|
|
|
|
19760049
| 47
| | Red | Green | Blue
| z | | 19.07
| znorm | | 14.89
| sky | 14.7 | 14.6 | 14.9
| S/N | 14.5 | 23.5 | 27.4
| S/N(c) | 40.2 | 19.1 | 18.8
| SN(E/C) | 0.77
|
|
|
|
|
|
|
19760050
| 47
| | Red | Green | Blue
| z | | 19.01
| znorm | | 14.83
| sky | 14.7 | 14.7 | 14.8
| S/N | 14.0 | 23.0 | 26.6
| S/N(c) | 39.1 | 18.7 | 18.4
| SN(E/C) | 0.78
|
|
|
|
|
|
|
19760051
| 47
| | Red | Green | Blue
| z | | 19.06
| znorm | | 14.88
| sky | 14.7 | 14.8 | 14.7
| S/N | 14.3 | 23.6 | 27.2
| S/N(c) | 39.3 | 19.0 | 18.8
| SN(E/C) | 0.80
|
|
|
|
|
|
|
19760052
| 47
| | Red | Green | Blue
| z | | 19.07
| znorm | | 14.89
| sky | 14.8 | 14.7 | 14.8
| S/N | 14.2 | 23.6 | 27.0
| S/N(c) | 39.7 | 19.1 | 18.9
| SN(E/C) | 0.78
|
|
|
|
|
|
|
19760053
| 47
| | Red | Green | Blue
| z | | 18.96
| znorm | | 14.78
| sky | 14.7 | 14.7 | 14.7
| S/N | 13.6 | 22.9 | 25.9
| S/N(c) | 38.0 | 18.0 | 17.6
| SN(E/C) | 0.85
|
|
|
|
|
|
|
19760054
| 47
| | Red | Green | Blue
| z | | 19.03
| znorm | | 14.85
| sky | 14.7 | 14.7 | 14.7
| S/N | 14.0 | 23.3 | 26.6
| S/N(c) | 39.4 | 18.7 | 18.4
| SN(E/C) | 0.81
|
|
|
|
|
|
|
19760055
| 47
| | Red | Green | Blue
| z | | 19.04
| znorm | | 14.86
| sky | 14.8 | 14.7 | 14.7
| S/N | 14.5 | 23.6 | 26.5
| S/N(c) | 39.2 | 18.6 | 18.5
| SN(E/C) | 0.81
|
|
|
|
|
|
|