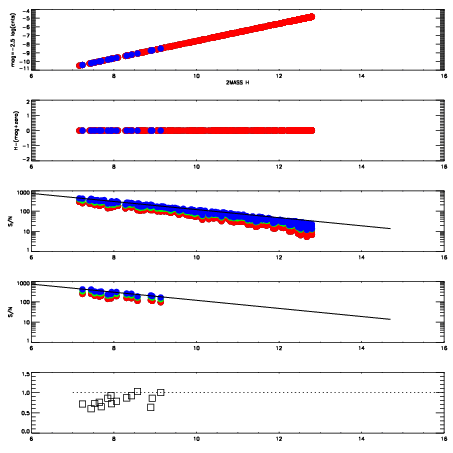
Left plots: red are targets, blue are telluric. Observed mags are calculated from median value of green chip. Zeropoint gives overall throughput: bigger number is more throughput.
First spatial plots: circles are objects, squares are tellurics, crosses are sky fibers. Colors give deviation of observed mag from expected 2MASS mag using the median zeropoint; red is brighter
Second spatial plots: circles are sky fibers. Colors give sky line brightness relative to plate median sky line brightness
FrameNreadsZeropointsMag plots Spatial mag deviation Spatial sky 16325A emission deviations (filled: sky, open: star) Spatial sky continuum emission Spatial sky telluric CO2 absorption deviations (filled: H < 10)
0 0
RedGreenBlue
z17.64
znorm Inf
sky -Inf -Inf -NaN
S/N 16.1 27.8 30.9
S/N(c) 0.0 0.0 0.0
SN(E/C) 0.78

IPAIRNAMESHIFTNEWSHIFTS/N NAMESHIFTNEWSHIFTS/N
0 17600013 0.506936 0.00000 18.7210 17600011 0.00000 0.506936 19.0111
1 17600017 0.505560 0.00137603 18.3542 17600015 0.00356195 0.503374 18.7614
2 17600016 0.504979 0.00195700 17.8488 17600014 0.00359226 0.503344 18.2842
3 17600012 0.505047 0.00188899 16.4106 17600018 0.00474156 0.502194 17.2293