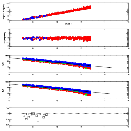
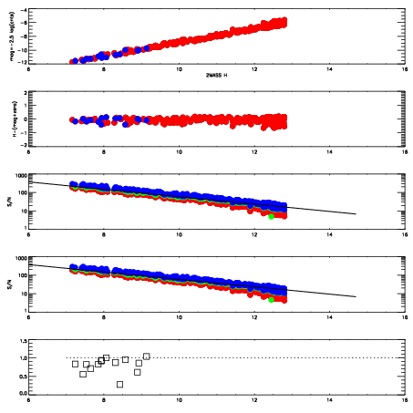
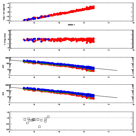
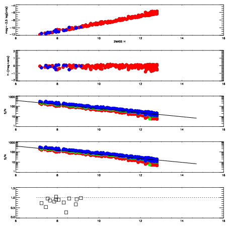
Left plots: red are targets, blue are telluric. Observed mags are calculated from median value of green chip. Zeropoint gives overall throughput: bigger number is more throughput.
First spatial plots: circles are objects, squares are tellurics, crosses are sky fibers. Colors give deviation of observed mag from expected 2MASS mag using the median zeropoint; red is brighter
Second spatial plots: circles are sky fibers. Colors give sky line brightness relative to plate median sky line brightness
FrameNreadsZeropointsMag plots Spatial mag deviation Spatial sky 16325A emission deviations (filled: sky, open: star) Spatial sky continuum emission Spatial sky telluric CO2 absorption deviations (filled: H < 10)
19730068 47
RedGreenBlue
z18.97
znorm14.79
sky 14.8 14.6 14.7
S/N 13.5 22.8 26.7
S/N(c) 13.2 11.3 14.6
SN(E/C) 0.85
19730069 47
RedGreenBlue
z19.02
znorm14.84
sky 14.9 14.6 14.9
S/N 13.3 22.8 26.9
S/N(c) 13.4 11.6 14.8
SN(E/C) 0.89
19730070 47
RedGreenBlue
z18.99
znorm14.81
sky 14.7 14.6 14.9
S/N 13.0 22.8 26.7
S/N(c) 13.2 11.4 14.6
SN(E/C) 0.88
19730071 47
RedGreenBlue
z18.94
znorm14.76
sky 15.0 14.8 14.7
S/N 12.8 22.2 25.7
S/N(c) 12.8 11.1 14.2
SN(E/C) 0.90
19730072 47
RedGreenBlue
z18.96
znorm14.78
sky 14.8 14.7 15.0
S/N 13.3 22.3 26.2
S/N(c) 13.1 11.3 14.4
SN(E/C) 0.86
19730073 47
RedGreenBlue
z18.99
znorm14.81
sky 15.0 14.9 14.9
S/N 13.6 22.9 26.7
S/N(c) 13.2 11.3 14.3
SN(E/C) 0.89