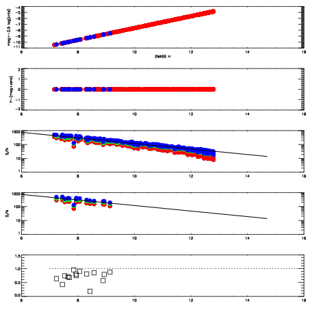
Left plots: red are targets, blue are telluric. Observed mags are calculated from median value of green chip. Zeropoint gives overall throughput: bigger number is more throughput.
First spatial plots: circles are objects, squares are tellurics, crosses are sky fibers. Colors give deviation of observed mag from expected 2MASS mag using the median zeropoint; red is brighter
Second spatial plots: circles are sky fibers. Colors give sky line brightness relative to plate median sky line brightness
FrameNreadsZeropointsMag plots Spatial mag deviation Spatial sky 16325A emission deviations (filled: sky, open: star) Spatial sky continuum emission Spatial sky telluric CO2 absorption deviations (filled: H < 10)
0 0
RedGreenBlue
z17.64
znorm Inf
sky -Inf -Inf -NaN
S/N 22.7 39.7 44.6
S/N(c) 0.0 0.0 0.0
SN(E/C) 0.75

IPAIRNAMESHIFTNEWSHIFTS/N NAMESHIFTNEWSHIFTS/N
0 19930066 0.00462360 0.00000 18.8595 19930067 -0.487815 0.492439 18.7264
1 19930065 0.00440551 0.000218090 18.8235 19930063 -0.491292 0.495916 18.6542
2 19930062 0.00000 0.00462360 18.6901 19930064 -0.490420 0.495044 18.6494
3 19930069 0.00400891 0.000614690 18.4001 19930068 -0.488152 0.492776 18.6010