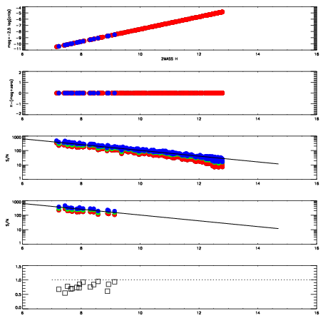
Left plots: red are targets, blue are telluric. Observed mags are calculated from median value of green chip. Zeropoint gives overall throughput: bigger number is more throughput.
First spatial plots: circles are objects, squares are tellurics, crosses are sky fibers. Colors give deviation of observed mag from expected 2MASS mag using the median zeropoint; red is brighter
Second spatial plots: circles are sky fibers. Colors give sky line brightness relative to plate median sky line brightness
FrameNreadsZeropointsMag plots Spatial mag deviation Spatial sky 16325A emission deviations (filled: sky, open: star) Spatial sky continuum emission Spatial sky telluric CO2 absorption deviations (filled: H < 10)
0 0
RedGreenBlue
z17.64
znorm Inf
sky -Inf -Inf -NaN
S/N 19.0 34.7 38.5
S/N(c) 0.0 0.0 0.0
SN(E/C) 0.75

IPAIRNAMESHIFTNEWSHIFTS/N NAMESHIFTNEWSHIFTS/N
0 19960059 0.00000 0.00000 18.7275 19960061 -0.489847 0.489847 18.7567
1 19960062 -0.00127601 0.00127601 18.7963 19960060 -0.490096 0.490096 18.7831
2 19960063 -0.000194217 0.000194217 18.5964 19960064 -0.490306 0.490306 18.6677