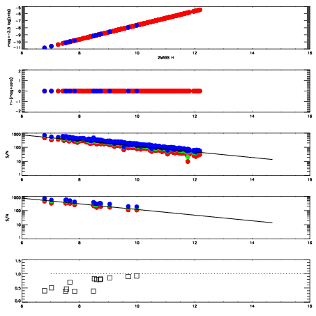
Left plots: red are targets, blue are telluric. Observed mags are calculated from median value of green chip. Zeropoint gives overall throughput: bigger number is more throughput.
First spatial plots: circles are objects, squares are tellurics, crosses are sky fibers. Colors give deviation of observed mag from expected 2MASS mag using the median zeropoint; red is brighter
Second spatial plots: circles are sky fibers. Colors give sky line brightness relative to plate median sky line brightness
FrameNreadsZeropointsMag plots Spatial mag deviation Spatial sky 16325A emission deviations (filled: sky, open: star) Spatial sky continuum emission Spatial sky telluric CO2 absorption deviations (filled: H < 10)
0 0
RedGreenBlue
z17.64
znorm Inf
sky -Inf -Inf -NaN
S/N 30.9 50.2 55.4
S/N(c) 0.0 0.0 0.0
SN(E/C) 0.80

IPAIRNAMESHIFTNEWSHIFTS/N NAMESHIFTNEWSHIFTS/N
0 17840024 0.512618 0.00000 19.1670 17840026 0.00111580 0.511502 19.1553
1 17840023 0.511640 0.000977993 19.1455 17840029 0.00128673 0.511331 19.1531
2 17840028 0.510814 0.00180399 19.1454 17840025 0.00118673 0.511431 19.1527
3 17840027 0.511620 0.000998020 19.1229 17840022 0.00000 0.512618 19.1180