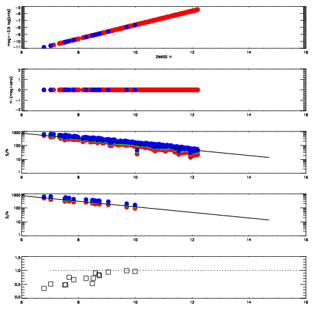
Left plots: red are targets, blue are telluric. Observed mags are calculated from median value of green chip. Zeropoint gives overall throughput: bigger number is more throughput.
First spatial plots: circles are objects, squares are tellurics, crosses are sky fibers. Colors give deviation of observed mag from expected 2MASS mag using the median zeropoint; red is brighter
Second spatial plots: circles are sky fibers. Colors give sky line brightness relative to plate median sky line brightness
FrameNreadsZeropointsMag plots Spatial mag deviation Spatial sky 16325A emission deviations (filled: sky, open: star) Spatial sky continuum emission Spatial sky telluric CO2 absorption deviations (filled: H < 10)
0 0
RedGreenBlue
z17.64
znorm Inf
sky -Inf -NaN -NaN
S/N 26.0 44.0 50.7
S/N(c) 0.0 0.0 0.0
SN(E/C) 0.72

IPAIRNAMESHIFTNEWSHIFTS/N NAMESHIFTNEWSHIFTS/N
0 17660031 0.508360 0.00000 19.0027 17660032 0.00387801 0.504482 18.9997
1 17660030 0.508043 0.000317037 19.0475 17660029 0.00296627 0.505394 19.0533
2 17660026 0.507540 0.000820041 19.0352 17660025 0.00000 0.508360 19.0477
3 17660027 0.508281 7.90358e-05 19.0105 17660028 0.00312493 0.505235 19.0413