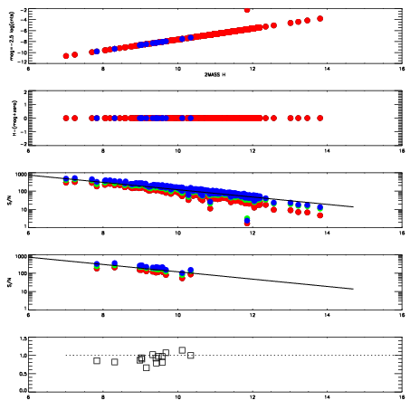
Left plots: red are targets, blue are telluric. Observed mags are calculated from median value of green chip. Zeropoint gives overall throughput: bigger number is more throughput.
First spatial plots: circles are objects, squares are tellurics, crosses are sky fibers. Colors give deviation of observed mag from expected 2MASS mag using the median zeropoint; red is brighter
Second spatial plots: circles are sky fibers. Colors give sky line brightness relative to plate median sky line brightness
FrameNreadsZeropointsMag plots Spatial mag deviation Spatial sky 16325A emission deviations (filled: sky, open: star) Spatial sky continuum emission Spatial sky telluric CO2 absorption deviations (filled: H < 10)
0 0
RedGreenBlue
z17.64
znorm Inf
sky -Inf -NaN -NaN
S/N 25.4 42.7 49.2
S/N(c) 0.0 0.0 0.0
SN(E/C) 0.92

IPAIRNAMESHIFTNEWSHIFTS/N NAMESHIFTNEWSHIFTS/N
0 17610092 0.514002 0.00000 18.9708 17610090 0.00736611 0.506636 18.9351
1 17610091 0.512808 0.00119400 18.9647 17610089 0.00756063 0.506441 18.8995
2 17610088 0.513200 0.000802040 18.8915 17610093 0.00877088 0.505231 18.8978
3 17610087 0.512581 0.00142103 18.8358 17610086 0.00000 0.514002 18.6943