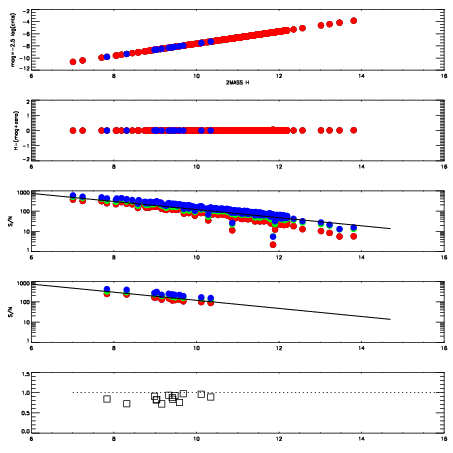
Left plots: red are targets, blue are telluric. Observed mags are calculated from median value of green chip. Zeropoint gives overall throughput: bigger number is more throughput.
First spatial plots: circles are objects, squares are tellurics, crosses are sky fibers. Colors give deviation of observed mag from expected 2MASS mag using the median zeropoint; red is brighter
Second spatial plots: circles are sky fibers. Colors give sky line brightness relative to plate median sky line brightness
FrameNreadsZeropointsMag plots Spatial mag deviation Spatial sky 16325A emission deviations (filled: sky, open: star) Spatial sky continuum emission Spatial sky telluric CO2 absorption deviations (filled: H < 10)
0 0
RedGreenBlue
z17.64
znorm Inf
sky -Inf -Inf -Inf
S/N 27.9 49.7 54.6
S/N(c) 0.0 0.0 0.0
SN(E/C) 0.88

IPAIRNAMESHIFTNEWSHIFTS/N NAMESHIFTNEWSHIFTS/N
0 17660060 0.503240 0.00000 19.0435 17660061 0.000861184 0.502379 19.0004
1 17660059 0.502752 0.000487983 19.1315 17660065 0.00273699 0.500503 19.0493
2 17660064 0.502052 0.00118798 19.0679 17660058 0.00000 0.503240 19.0256
3 17660063 0.502087 0.00115299 19.0186 17660062 0.000336442 0.502904 18.9844