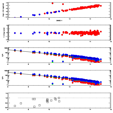
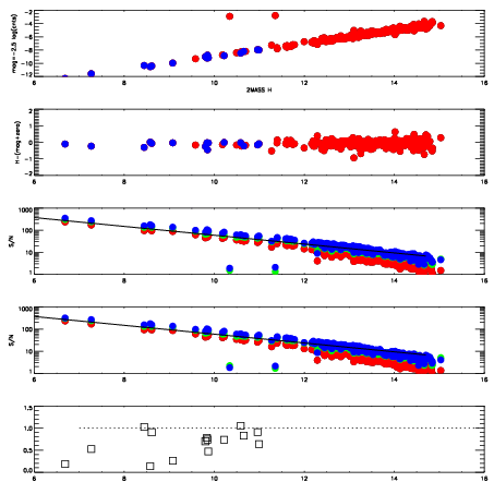
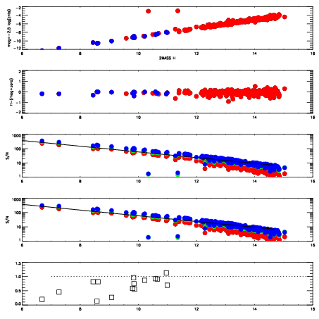
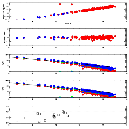
Left plots: red are targets, blue are telluric. Observed mags are calculated from median value of green chip. Zeropoint gives overall throughput: bigger number is more throughput.
First spatial plots: circles are objects, squares are tellurics, crosses are sky fibers. Colors give deviation of observed mag from expected 2MASS mag using the median zeropoint; red is brighter
Second spatial plots: circles are sky fibers. Colors give sky line brightness relative to plate median sky line brightness
FrameNreadsZeropointsMag plots Spatial mag deviation Spatial sky 16325A emission deviations (filled: sky, open: star) Spatial sky continuum emission Spatial sky telluric CO2 absorption deviations (filled: H < 10)
19990023 47
RedGreenBlue
z19.04
znorm14.86
sky 14.9 14.6 14.9
S/N 12.4 21.2 23.1
S/N(c) 9.5 18.1 10.0
SN(E/C) 0.75
19990024 47
RedGreenBlue
z19.07
znorm14.89
sky 14.8 14.7 15.1
S/N 13.0 21.7 23.6
S/N(c) 9.9 18.4 10.3
SN(E/C) 0.73
19990025 47
RedGreenBlue
z19.06
znorm14.88
sky 14.7 14.8 15.2
S/N 12.3 21.2 22.7
S/N(c) 9.7 18.2 10.1
SN(E/C) 0.75
19990026 47
RedGreenBlue
z19.11
znorm14.93
sky 14.6 14.7 14.9
S/N 13.2 22.7 24.6
S/N(c) 10.1 18.8 10.5
SN(E/C) 0.75
19990027 47
RedGreenBlue
z19.14
znorm14.95
sky 14.4 14.6 14.7
S/N 12.5 21.3 23.1
S/N(c) 10.2 18.8 10.5
SN(E/C) 0.75
19990028 47
RedGreenBlue
z19.10
znorm14.92
sky 13.5 13.4 13.1
S/N 10.4 18.1 18.8
S/N(c) 9.4 18.0 9.9
SN(E/C) 0.73