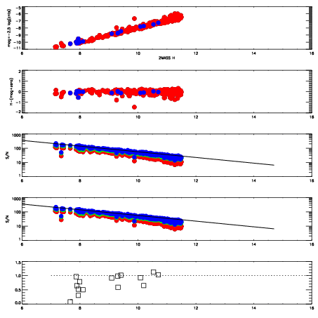
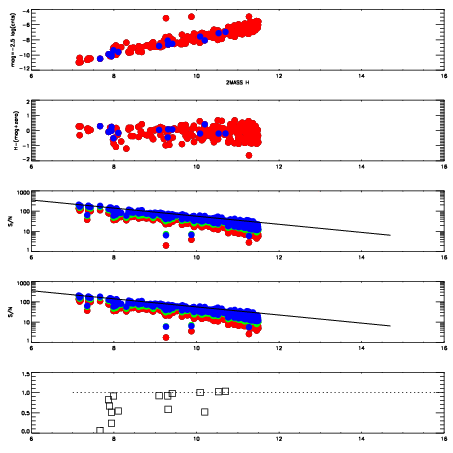
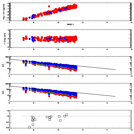
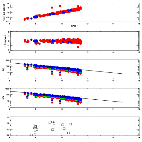
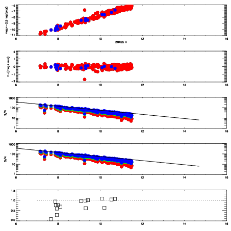
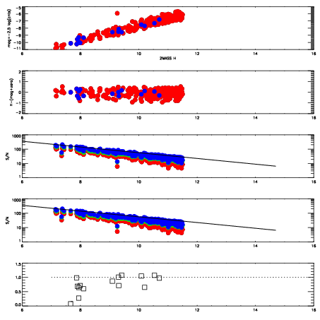
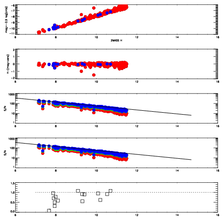
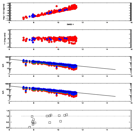
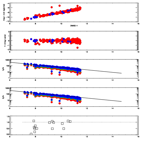
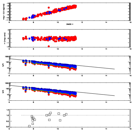
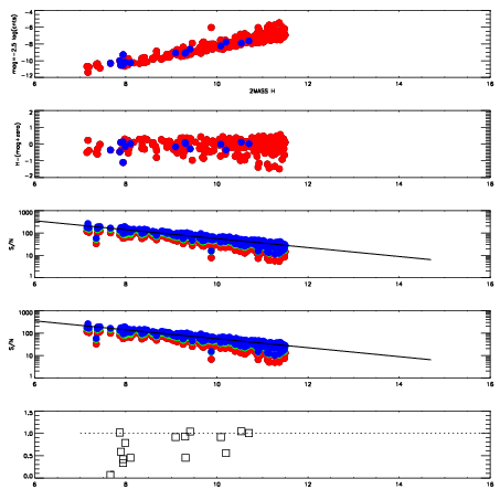
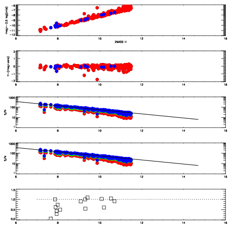
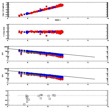
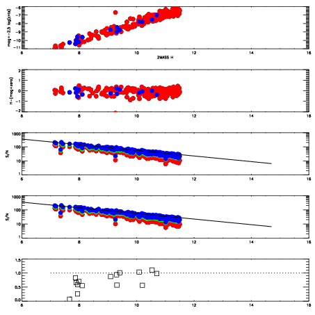
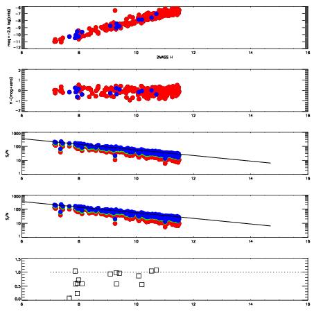
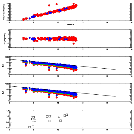
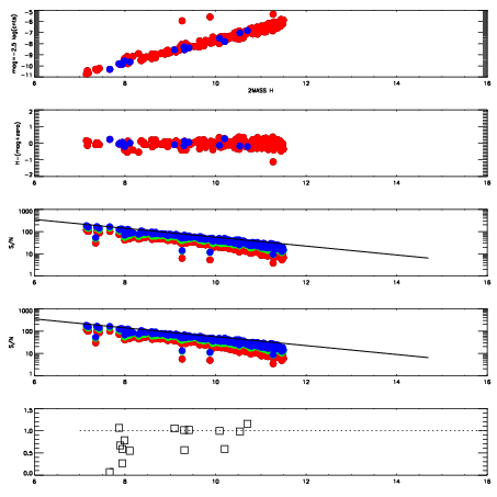
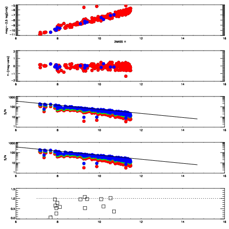
Frame | Nreads | Zeropoints | Mag plots
| Spatial mag deviation
| Spatial sky 16325A emission deviations (filled: sky, open: star)
| Spatial sky continuum emission
| Spatial sky telluric CO2 absorption deviations (filled: H < 10)
|
18700022
| 42
| | Red | Green | Blue
| z | | 17.86
| znorm | | 13.80
| sky | 14.4 | 14.2 | 14.5
| S/N | 7.4 | 13.3 | 14.7
| S/N(c) | 9.2 | 11.6 | 8.5
| SN(E/C) | 0.82
|
|
|
|
|
|
|
18700023
| 42
| | Red | Green | Blue
| z | | 17.77
| znorm | | 13.72
| sky | 14.5 | 14.5 | 14.6
| S/N | 6.9 | 13.1 | 14.3
| S/N(c) | 8.6 | 10.9 | 8.1
| SN(E/C) | 0.65
|
|
|
|
|
|
|
18700024
| 42
| | Red | Green | Blue
| z | | 17.79
| znorm | | 13.73
| sky | 14.9 | 14.6 | 14.7
| S/N | 6.8 | 12.2 | 14.3
| S/N(c) | 8.2 | 10.7 | 7.8
| SN(E/C) | 0.71
|
|
|
|
|
|
|
18700025
| 42
| | Red | Green | Blue
| z | | 17.64
| znorm | | 13.58
| sky | 15.0 | 14.6 | 14.8
| S/N | 6.1 | 11.5 | 13.1
| S/N(c) | 7.5 | 10.1 | 7.2
| SN(E/C) | 0.84
|
|
|
|
|
|
|
18700026
| 42
| | Red | Green | Blue
| z | | 18.17
| znorm | | 14.11
| sky | 14.6 | 14.6 | 14.7
| S/N | 9.8 | 16.8 | 18.7
| S/N(c) | 11.2 | 13.7 | 10.0
| SN(E/C) | 0.73
|
|
|
|
|
|
|
18700027
| 42
| | Red | Green | Blue
| z | | 17.92
| znorm | | 13.86
| sky | 14.8 | 14.7 | 14.7
| S/N | 8.2 | 14.7 | 16.3
| S/N(c) | 9.6 | 12.1 | 8.7
| SN(E/C) | 0.78
|
|
|
|
|
|
|
18700028
| 42
| | Red | Green | Blue
| z | | 17.67
| znorm | | 13.62
| sky | 15.0 | 14.7 | 14.8
| S/N | 6.4 | 12.3 | 13.2
| S/N(c) | 8.1 | 10.6 | 7.7
| SN(E/C) | 0.90
|
|
|
|
|
|
|
18700029
| 42
| | Red | Green | Blue
| z | | 17.73
| znorm | | 13.68
| sky | 15.4 | 15.0 | 14.9
| S/N | 6.8 | 12.9 | 13.8
| S/N(c) | 8.4 | 11.0 | 7.9
| SN(E/C) | 0.78
|
|
|
|
|
|
|
18700030
| 42
| | Red | Green | Blue
| z | | 17.69
| znorm | | 13.64
| sky | 15.3 | 15.2 | 15.0
| S/N | 6.6 | 12.2 | 14.0
| S/N(c) | 7.9 | 10.3 | 7.4
| SN(E/C) | 0.77
|
|
|
|
|
|
|
18700031
| 42
| | Red | Green | Blue
| z | | 17.77
| znorm | | 13.71
| sky | 14.8 | 14.9 | 15.0
| S/N | 6.9 | 13.0 | 14.6
| S/N(c) | 8.5 | 11.0 | 7.8
| SN(E/C) | 0.76
|
|
|
|
|
|
|
18700032
| 42
| | Red | Green | Blue
| z | | 18.01
| znorm | | 13.95
| sky | 14.8 | 14.9 | 14.8
| S/N | 8.6 | 15.5 | 17.1
| S/N(c) | 10.2 | 12.8 | 9.4
| SN(E/C) | 0.78
|
|
|
|
|
|
|
18700033
| 42
| | Red | Green | Blue
| z | | 17.67
| znorm | | 13.61
| sky | 14.9 | 15.0 | 14.9
| S/N | 6.9 | 12.8 | 13.9
| S/N(c) | 8.2 | 10.7 | 7.6
| SN(E/C) | 0.88
|
|
|
|
|
|
|
18700034
| 42
| | Red | Green | Blue
| z | | 17.94
| znorm | | 13.88
| sky | 15.0 | 15.1 | 15.0
| S/N | 7.9 | 14.5 | 15.8
| S/N(c) | 9.8 | 12.2 | 9.0
| SN(E/C) | 0.63
|
|
|
|
|
|
|
18700035
| 42
| | Red | Green | Blue
| z | | 18.01
| znorm | | 13.96
| sky | 14.9 | 15.1 | 14.6
| S/N | 8.2 | 15.2 | 17.1
| S/N(c) | 10.3 | 12.7 | 9.3
| SN(E/C) | 0.71
|
|
|
|
|
|
|
18700036
| 42
| | Red | Green | Blue
| z | | 18.11
| znorm | | 14.05
| sky | 14.6 | 14.9 | 15.0
| S/N | 8.9 | 15.2 | 17.6
| S/N(c) | 10.2 | 12.8 | 9.2
| SN(E/C) | 0.72
|
|
|
|
|
|
|
18700037
| 42
| | Red | Green | Blue
| z | | 18.07
| znorm | | 14.02
| sky | 14.9 | 14.9 | 14.8
| S/N | 8.9 | 14.9 | 17.4
| S/N(c) | 10.0 | 12.6 | 9.0
| SN(E/C) | 0.70
|
|
|
|
|
|
|
18700038
| 42
| | Red | Green | Blue
| z | | 18.27
| znorm | | 14.22
| sky | 14.8 | 15.0 | 14.9
| S/N | 10.0 | 17.8 | 19.5
| S/N(c) | 12.3 | 14.9 | 10.8
| SN(E/C) | 0.70
|
|
|
|
|
|
|
18700039
| 42
| | Red | Green | Blue
| z | | 18.33
| znorm | | 14.27
| sky | 15.2 | 15.0 | 14.8
| S/N | 10.5 | 18.3 | 20.3
| S/N(c) | 12.6 | 15.2 | 11.0
| SN(E/C) | 0.78
|
|
|
|
|
|
|