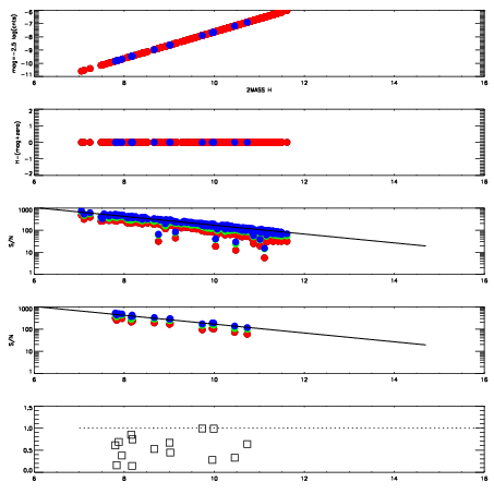
Left plots: red are targets, blue are telluric. Observed mags are calculated from median value of green chip. Zeropoint gives overall throughput: bigger number is more throughput.
First spatial plots: circles are objects, squares are tellurics, crosses are sky fibers. Colors give deviation of observed mag from expected 2MASS mag using the median zeropoint; red is brighter
Second spatial plots: circles are sky fibers. Colors give sky line brightness relative to plate median sky line brightness
FrameNreadsZeropointsMag plots Spatial mag deviation Spatial sky 16325A emission deviations (filled: sky, open: star) Spatial sky continuum emission Spatial sky telluric CO2 absorption deviations (filled: H < 10)
0 0
RedGreenBlue
z17.64
znorm Inf
sky -Inf -Inf -Inf
S/N 27.3 48.3 56.5
S/N(c) 0.0 0.0 0.0
SN(E/C) 0.61

IPAIRNAMESHIFTNEWSHIFTS/N NAMESHIFTNEWSHIFTS/N
0 18680023 0.508820 0.00000 17.5297 18680022 0.00000 0.508820 17.4026
1 18680032 0.504952 0.00386798 18.6761 18680033 -0.00108710 0.509907 18.7059
2 18680027 0.505692 0.00312799 18.6343 18680038 -0.00135746 0.510177 18.6395
3 18680039 0.504876 0.00394398 18.5760 18680026 -0.00139469 0.510215 18.5530
4 18680036 0.505025 0.00379497 18.2109 18680037 5.68889e-05 0.508763 18.2486
5 18680031 0.505938 0.00288200 18.0646 18680030 0.000269206 0.508551 18.0772
6 18680035 0.504991 0.00382900 18.0172 18680034 -0.000749248 0.509569 18.0145
7 18680024 0.508630 0.000190020 17.8189 18680029 0.000536252 0.508284 17.8071
8 18680028 0.506912 0.00190800 17.7705 18680025 -0.000196187 0.509016 17.7899