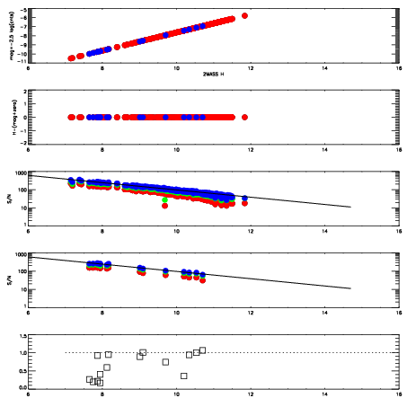
Left plots: red are targets, blue are telluric. Observed mags are calculated from median value of green chip. Zeropoint gives overall throughput: bigger number is more throughput.
First spatial plots: circles are objects, squares are tellurics, crosses are sky fibers. Colors give deviation of observed mag from expected 2MASS mag using the median zeropoint; red is brighter
Second spatial plots: circles are sky fibers. Colors give sky line brightness relative to plate median sky line brightness
FrameNreadsZeropointsMag plots Spatial mag deviation Spatial sky 16325A emission deviations (filled: sky, open: star) Spatial sky continuum emission Spatial sky telluric CO2 absorption deviations (filled: H < 10)
0 0
RedGreenBlue
z17.64
znorm Inf
sky -Inf -Inf -Inf
S/N 15.2 28.1 29.0
S/N(c) 0.0 0.0 0.0
SN(E/C) 0.74

IPAIRNAMESHIFTNEWSHIFTS/N NAMESHIFTNEWSHIFTS/N
0 18100013 0.505991 0.00000 18.0849 18100014 0.00595830 0.500033 18.1788
1 18100012 0.503539 0.00245196 18.2665 18100011 0.00000 0.505991 18.2040
2 18100016 0.505203 0.000787973 18.0534 18100015 0.00599057 0.500000 18.1166