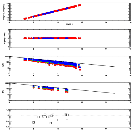
Left plots: red are targets, blue are telluric. Observed mags are calculated from median value of green chip. Zeropoint gives overall throughput: bigger number is more throughput.
First spatial plots: circles are objects, squares are tellurics, crosses are sky fibers. Colors give deviation of observed mag from expected 2MASS mag using the median zeropoint; red is brighter
Second spatial plots: circles are sky fibers. Colors give sky line brightness relative to plate median sky line brightness
FrameNreadsZeropointsMag plots Spatial mag deviation Spatial sky 16325A emission deviations (filled: sky, open: star) Spatial sky continuum emission Spatial sky telluric CO2 absorption deviations (filled: H < 10)
0 0
RedGreenBlue
z17.64
znorm Inf
sky -Inf -NaN -Inf
S/N 12.0 25.5 29.5
S/N(c) 0.0 0.0 0.0
SN(E/C) 0.92

IPAIRNAMESHIFTNEWSHIFTS/N NAMESHIFTNEWSHIFTS/N
0 18610032 0.508694 0.00000 14.9607 18610033 0.00154704 0.507147 16.1719
1 18610027 0.503112 0.00558197 18.3717 18610026 0.000536695 0.508157 18.2138
2 18610028 0.504239 0.00445497 18.0631 18610029 0.000114857 0.508579 18.0773
3 18610023 0.504025 0.00466901 17.2956 18610030 0.000948762 0.507745 17.6307
4 18610024 0.505935 0.00275898 16.9570 18610022 0.00000 0.508694 17.2741
5 18610031 0.506989 0.00170499 16.8857 18610025 0.00193521 0.506759 16.9458