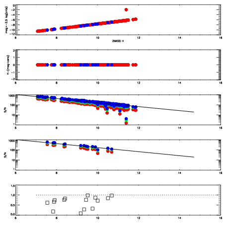
Left plots: red are targets, blue are telluric. Observed mags are calculated from median value of green chip. Zeropoint gives overall throughput: bigger number is more throughput.
First spatial plots: circles are objects, squares are tellurics, crosses are sky fibers. Colors give deviation of observed mag from expected 2MASS mag using the median zeropoint; red is brighter
Second spatial plots: circles are sky fibers. Colors give sky line brightness relative to plate median sky line brightness
FrameNreadsZeropointsMag plots Spatial mag deviation Spatial sky 16325A emission deviations (filled: sky, open: star) Spatial sky continuum emission Spatial sky telluric CO2 absorption deviations (filled: H < 10)
0 0
RedGreenBlue
z17.64
znorm Inf
sky -Inf -Inf -Inf
S/N 25.9 47.4 53.6
S/N(c) 0.0 0.0 0.0
SN(E/C) 0.74

IPAIRNAMESHIFTNEWSHIFTS/N NAMESHIFTNEWSHIFTS/N
0 18000028 0.506997 0.00000 18.4564 18000027 0.00431435 0.502683 18.5516
1 18000021 0.504701 0.00229597 18.6952 18000022 0.00242113 0.504576 18.7628
2 18000016 0.501324 0.00567299 18.6341 18000015 0.00357358 0.503423 18.7189
3 18000025 0.506749 0.000248015 18.3767 18000026 0.00382600 0.503171 18.3816
4 18000020 0.504359 0.00263798 18.1618 18000023 0.00183135 0.505166 18.1996
5 18000024 0.506246 0.000751019 18.1045 18000019 0.00319024 0.503807 18.1366
6 18000017 0.502530 0.00446701 18.0122 18000018 0.00317913 0.503818 17.9969
7 18000012 0.500388 0.00660896 17.8653 18000014 0.00404218 0.502955 17.9533
8 18000013 0.501811 0.00518596 17.8609 18000011 0.00000 0.506997 17.7469